先抽签后抽签哪个中奖机会大
我们常会碰到这样的问题,10个人抽一个奖,应该说每人获奖的概率是
,大家是一样的。但有的人认为,先抽合算,后抽不合算。现在我们来分析一下:第一人抽着奖的概率是
,抽不着奖的概率为
;
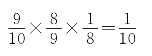
第二人抽时只有9个签,有两种可能:①第一人已抽着奖,第二人抽着奖的概率应是
;②第一人未抽着奖,第二人抽着奖的概率应是
所以第二人抽着奖的概率为:

因此第二人抽签,不管第一人是否抽到奖,他抽到奖的概率仍是
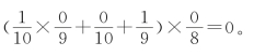
第三人去抽签时还有8张签,也是两种情况:
①前面两个人中已有一个抽着奖,第三人抽着奖的概率应是
②第一、二人都未抽着奖,而第三人抽着奖的概率应是:

所以第三人抽着奖的概率为:

因此不管第一人,第二人是否抽着奖,第三人抽着奖的概率仍为
,所以10人抽签不管先抽还是后抽,抽着奖的概率是一样的,机会是一样的。