怎样快速算出堆垛产品总数
2026年01月14日
怎样快速算出堆垛产品总数
仓库进了一批产品,为防止摔坏,保管员按如图方式堆垛:

试问:①第10层有几盒?②10层总和有多少盒?
我们很快发现,一边是1,2,3,4,5……盒;另一边是2,3,4,5,6……盒,于是可以得出:
a1=2=1×2
a2=6=2×3
a3=12=3×4
a4=20=4×5
a5=30=5×6
……
因此第十层a10=10×11=110盒
10层总和S
S=1×2+2×3+3×4+…10×11
=2+6+12+20+30+42+56+72+90+110
=440。
如果仓库堆垛共有28层,而销售部通知急需3000盒产品,试问:①库存够不够?②从上面开始拿,拿到第几层才满足?
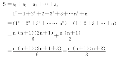
这里就需要有一个堆垛求和的计算公式。我们来分析一下:
S=1×2+2×3+3×4+…+n(n+1)
第n层an=n(n+1)=n2+n(https://www.daowen.com)
于是每一项都可以分解为两项:
a1=1×2=12+1
a2=2×3=22+2
a3=3×4=32+3
a4=4×5=42+4
……
an=n(n+1)=n2+n
所以,相加可得:

这样就可很快地解决上述问题。
仓库堆垛28层,共有:

前几层共有3000盒?
![]()
我们用凑数的方法来解这个方程。
只要从上往下拿到第20层,然后再留下80盒,就是拿去了3000盒,这样又快又正确地解决了问题。

![]()