从A镇到B镇有几条路可走

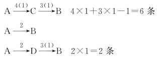
如图,从A镇到B镇可以由A到C再到B,也可以由A到D再到B,也可由A直接到B。从A到C可有飞机、汽车、轮船、火车四种方式,从C到B可有火车、汽车、飞机三种方式,从A到B只有汽车与轮船两种方式,从A到D可有汽车、火车两种方式,而从D到B可有汽车、轮船、飞机三种方式。

试问:①从A到B共有几条路可走?
②从A到B选择有飞机的路线概率是多少?

所以由A到B共有12+2+6=20条
②由A到B含有飞机路线共有:

所以由A到B,含飞机路线共有:
6+2=8条
从A到B选择含有飞机路线的概率为:
