利用跷跷板为什么可以估计体重
2026年01月14日
利用跷跷板为什么可以估计体重
甲乙丙丁四人在学校体育室称了一下各自的书包,分别为8千克、10千克、7千克、9千克。由于秤小无法称人的体重。体育场上有一个跷跷板,能否利用它来称出四人的体重呢?
(1)把四个书包放在跷跷板一头,甲在另一头,甲慢慢往前移动,直到跷跷板平衡为止,如图。书包离平衡点位置是2m,而甲离平衡位置1.25m,那么甲有多少重呢?
设甲的体重为x,根据力乘力矩相等的平衡原理可得,
x·1.25=(7+8+9+10)·2
x=34×21.25=54.4(千克)

所以甲的体重为54.4千克。
(2)甲在跷跷板一头,背上自己的书包,而乙在跷跷板另一头,背上自己的书包与丙的书包,跷跷板正好平衡。那么乙的体重是多少?
设乙的体重为y,则:
(https://www.daowen.com)
所以,乙的体重为45.4千克。
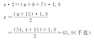
(3)丙比较胖,他站在跷跷板的一头;甲站在跷跷板另一头,背上他的书包,仍没有跷起来,再加上丙的书包,又跷了起来。于是甲慢慢往前移动直到平衡为止,而丙离平衡点位置是2m,甲离平衡点位置是1.9m。试间丙的体重是多少?
设丙的体重为z,则:

所以,丙的体重为65.9千克。
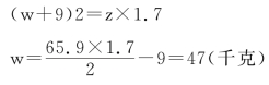
(4)丁背上自己书包站在跷跷板的一头,丙站在跷跷板另一头,将丁跷起来了,丙慢慢往前移动直到平衡为止,而丁离平衡点位置是2m,丙离平衡点位置是1.7m。
丁的体重怎么称呢?

所以,丁的体重为47千克。