投资组合选择实例
2025年09月26日
五、投资组合选择实例
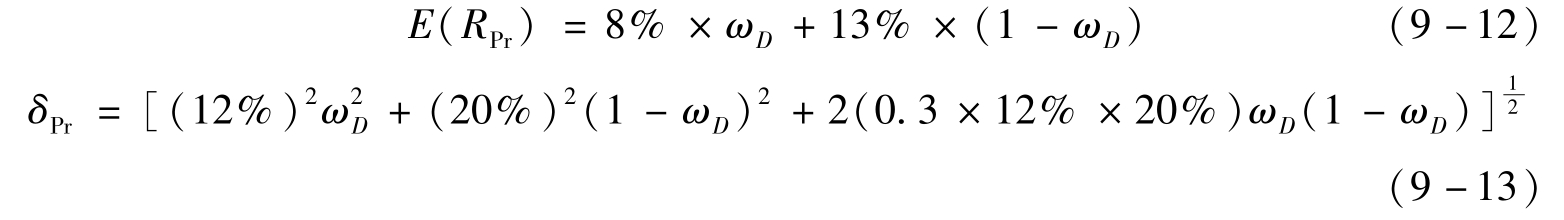
下面我们用一个投资者资产在两种风险资产(债券和股票)以及一种无风险资产(短期国债)间的配置实例来对理论进行说明(允许卖空)。债券和股票的期望收益率分别是8%和13%;收益的标准差分别是12%和20%;相关系数为0.3;无风险利率为5%;投资者的风险厌恶系数A=4,效用函数的形式如公式9-11所示。

投资者的投资组合选择分为两步:一是找到有效集。由于引入无风险资产后的有效集是无风险资产与切点组合的组合,即夏普比率最高的风险资产组合的组合,也称为最优风险资产组合(optimal risky portfolio)。因此,要完成第一步,首先要找到这一切点组合,然后求解有效集。二是根据投资者的风险厌恶程度和效用函数找到投资者的最优投资组合。
(一)切点组合和有效集的求解
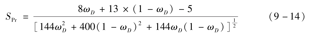
设ωD和ωE分别是债券和股票在风险资产组合中所占的权重,并且有ωD+ωE=1,风险资产组合预期收益率标准差和夏普比率分别如公式9-12和公式9-13所示。

由此可得到公式9-14。

选择比例ωD使夏普比率最大化。将SPr对ωD求导,并令导数等于0,得到
因此,最优风险资产组合的期望收益和方差分别为:14.2%。有效集为无风险资产和最优风险资产组合的组合,即如公式9-15所示。

(二)最优投资组合的求解
由于投资者的风险规避系数为4,因此投资者的效用函数可以表示为公式9-16。

假设投资者将全部资产的份额y投资于无风险资产,将剩余的部分(1-y)投资于最优风险资产组合,那么投资者的效用可以表达为公式9-17。

投资者选择份额y最大化上述效用,得到:y*=0.2561。