6.2 精讲例题与分析
6.2.1 基本习题讲解
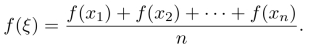
例6.1 证明:若函数f(x)在区间(a,b)内连续,又
![]()
则必有ξ∈[x1,xn],使得

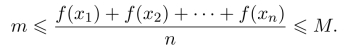
证明 函数f(x)在区间(a,b)内连续,故函数f(x)在区间[x1,xn]内连续,f(x)在区间[x1,xn]上有最大值和最小值,则存在两数m,M,对于任意的x∈[x1,xn],满足
![]()
从而

由介值定理,存在ξ∈[x1,xn],使得

例6.2 试定义f(0)的值,使得

在x=0点连续.
解 要使得f(x)在x=0点连续,即f(x)在x=0点的极限值等于该点的函数值.由于
,故定义f(0)=0即可.
例6.3 证明f(x)=sinx2在(−∞,+∞)上不一致连续.
证明 首先给出f(x)在区间I上不一致连续的定义:
至少存在一个ε0>0,使得对于任意的δ>0(无论取多么小),总可以找到两点x1,x2∈I,满足|x1−x2|<δ,但是|f(x1)−f(x2)|≥ε0.

又根据闭区间上的连续函数必一致连续知,f(x)在[a,M+1]上一致连续.因此对于上述ε存在δ>0,使得当x′,x′′∈[a,M+1]且|x′−x′′|<δ时,有
![]()
不妨假定上述δ<1.要证明:当x′,x′′∈[a,+∞)且|x′−x′′|<δ时,有
(https://www.daowen.com)
实际上,如果x′,x′′∈[a,M+1],则已无问题.又若x′,x′′>M,则有

由于|x′−x′′|<δ<1,故只可能发生以上两种情况.
6.2.2 拓展习题讲解
例6.5 设函数f(x)于区间[0,1]上连续,且对任意的x∈[0,1],都有f(x)∈[0,1],求证:存在x0∈[0,1],使得f(x0)=x0.
证明 若f(0)=0或f(1)=1,则命题成立.
否则,令g(x)=f(x)−x,则g(x)在[0,1]上连续,由于
![]()
从而
![]()
由零点存在定理,存在ξ∈(0,1),使得g(ξ)=0,命题得证.
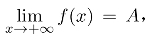
例6.6 证明:若函数f(x)于区间[a,+∞)上连续,且
![]()
(A为有限数),则此函数在已知区间上为有界的.
证明 由于
,取ε=1,则存在正数X>0,使当x>X时,恒有
![]()
所以
![]()
由于f(x)在[a,X]上连续,因而有界,即存在常数M1>0,使对于任意的x∈[a,X],恒有
![]()
取M=max{M1,|A|+1},则当x∈[a,+∞)时,有
![]()