5.3 课外练习

5.3 课外练习

A组

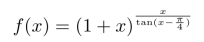
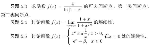
习题5.1 利用初等函数的连续性和重要极限求下列极限.

图示

图示

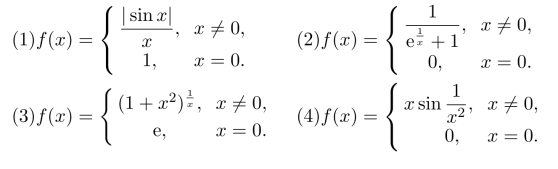
习题5.2 判断下列函数在x=0点是否连续,若不连续则指出间断点的类型.

图示

B组

图示(https://www.daowen.com)

C组

习题5.6 设对任意x,都有|f(x)|≤|F(x)|,且F(x)于x=0点处连续,F(0)=0,证明:f(x)于x=0点处也连续.

习题5.7 讨论函数

图示

在区间(0,2π)内的间断点,并讨论其类型.

习题5.8 设函数

图示

求f(x)的间断点并判断其类型.