9.1 本课重点内容提示
1.微分是增量的线性主部.
具体说,考虑y=f(x)于点x0由自变量增量∆x引起的因变量的增量∆y.若存在与自变量增量∆x无关的量A(x0),使得
![]()
则A(x0)∆x为∆y的线性主部,并称∆y的线性主部A(x0)∆x为函数f(x)在x0点的微分,记为dy|x=x0或者df(x0),因此
![]()
对于线性函数y=x确实有dx=∆x,因此,上式通常记为
![]()
(1)微分的几何意义:∆y=f(x0+∆x)−f(x0)是曲线在x0点相应于自变量增量∆x的函数的增量,而微分A(x0)dx是曲线f(x)在(x0,f(x0))点的切线的纵坐标的增量.
(2)函数y=f(x)在x0点可微的充分必要条件是y=f(x)在x0点可导.并且f′(x0)为线性主部中的常数A(x0).
(3)当不只是考虑在点x0的微分时,实际上微分dy=f′(x)dx为二元函数,当给定自变量x及增量∆x时,dy才有确定值.
例 设y=xx,求dy|x=1.
解 由于dy=xx(lnx+1)dx,所以
(https://www.daowen.com)
2.理解一阶微分的形式不变性.
若y=f(x)可导,则有微分
![]()
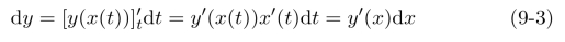
若x并非自变量,而是中间变量,即x=x(t),并且假定x(t)也可导,则有dx=x′(t)dt.对于y=y(x(t))有微分
![]()
因此,从形式上来看,不管y=f(x)中的x是否真正的自变量,式(9-2)与式(9-3)是一样的,即一阶微分的形式是不变的.
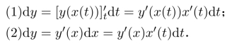
3.一阶微分的形式不变性的用途.
对于一阶微分的计算,有两种方法,设y=y(x(t))满足适当的假设条件,则

(1)中利用了复合函数的求导法则;(2)则是利用了一阶微分的形式不变性,即每一步计算时,不必考虑真正的自变量是什么.由于微分的定义是由其自变量的增量所引起的因变量的增量的线性主部,因此第(2)种方法确实含有新的数学思想.
4.本课的计算.
一阶微分,高阶微分的计算(实际上是求导计算);近似计算.