9.2 精讲例题与分析

9.2 精讲例题与分析

9.2.1 基本习题讲解

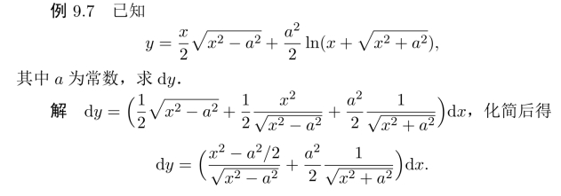
例9.1 正方形边长x=2.4m±0.05m,求由此计算所得正方形面积的相对误差和绝对误差.

图示

解 由微分的定义,得

图示

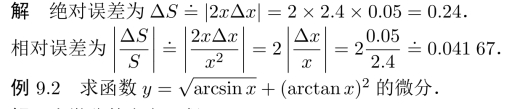
例9.3 设u,v为x的可微分函数,求函数y的微分dy.

(1)y=ln(u2+v2);(https://www.daowen.com)

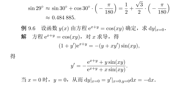
(2)y=e3u,u=(lnv)2,v=1+x2−cotx.

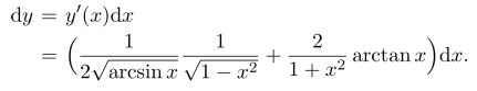
图示

9.2.2 拓展习题讲解

例9.5 利用微分计算sin29的近似值.

解 由微分的定义出发,

图示

图示