稳定电流场的边界条件

二、稳定电流场的边界条件

边界条件是分析研究电场在介质中分布情况的重要依据之一。在稳定电流场中,除场源点外,电位处处连续,处处有限。即在接近点电流源的点上:

图示

在距场源无限远的点上:

图示(https://www.daowen.com)

在地面上(除场源点外)电流密度的法向分量为零,即

图示

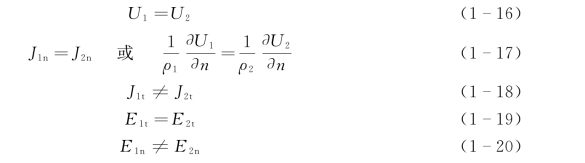
在两种不同介质的分界面上,电位连续;电流穿过介质分界面时,电流密度的法向分量连续,切向分量不连续,而电场强度的切向分量连续,法向分量不连续,即

图示