三、多层介质的反射波时距曲线
在多层水平层状介质条件下,在O点激发地震波,在S点接收经第n个界面反射到达S点的旅行时之和为



图6-19 多层水平层状介质的反射波时距曲线



另外,双程垂直时间为

从而得

由图6-19可得到观测点S的横坐标为

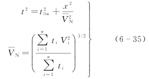
式(6-33)和式(6-34)组成了以P为参数的时距曲线方程,进一步可写成


图6-20 相同倾角的多层介质反射波时距曲线
式中:
为均方根速度。
由此可见,在水平多层介质情况下,其时距方程也是双曲线。
至于倾斜多层介质,反射波时距曲线形状仍可利用虚震源概念绘制。图6-20是具有相同倾角的时距曲线簇。图6-21是倾角不同的时距曲线簇。