倾斜界面的反射波时距曲线
2026年01月14日
二、倾斜界面的反射波时距曲线
设地下有一反射界面R,界面与水平测线的夹角(视倾角)为φ,界面上下介质满足V1ρ1≠V2ρ2,爆炸点到界面的法线深度为h,虚震源O*不在O点的正下方,而是向上倾方向偏离(图6-18)。
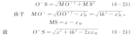
在O点激发,地震波经界面上的A点反射到达地面上任意一点S。用虚震源的概念,可以写出波的旅行路程O*S=OA+AS=V1t,则

图6-17 x2-t2关系图

用M点表示O*在地面的投影点,则有

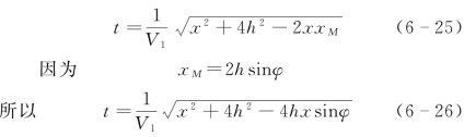
将式(6-24)代入式(6-22),得


图6-18 倾斜界面反射波时距曲线(https://www.daowen.com)
式(6-26)就是反射波时距曲线方程式。我们约定:当界面的下倾方向和x轴正方向一致时φ值取正;反之,φ取负值。
经变换得

由此可见,这时反射波的时距曲线仍为一条双曲线,其极小点的坐标为

极小点的位置就是虚震源在地面测线上的投影,它始终位于界面的上倾方向。在实际工作中,可以根据极小点的位置来定性地判断反射界面的倾斜方向,而且随着界面埋藏深度和倾角的增大,极小点也越远离震源O点。
在震源O点接收到的反射波的到达时间称为双程垂直时间t0,在时距曲线上即是时距曲线与时间t轴的交点。

从时距曲线上求出t0后,可用t0值求出界面的法线深度h:
![]()