一、水平界面的反射波时距曲线
如前所述,只要满足界面上下介质的波阻抗不相等,即ρ1V1≠ρ2V2,则入射到界面的地震波可按反射定律产生反射波。
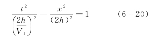
如图6-16所示,地下有一水平波阻扰界面R,界面埋深h,其上部表层的波速为V1。爆炸点O为震源,在地面上设若干观测点接受反射波。如在C点反射到地面检波点S的反射波,其旅行路程为OC+CS。设与爆炸点O对称的O*为虚爆炸点(虚震源),则OO*=2h,而且反射界面是OO*的垂直平分面。于是ΔOCD=ΔO*CD,因而OC=O*C,∠OCD=∠O*CD,并且O*CS是一条直线。于是折射波旅行时间为

或

图6-16 水平二层介质的反射波时距曲线



对式(6-19)两边平方得

