瑞雷面波勘探的资料处理
2026年01月14日
三、瑞雷面波勘探的资料处理
目前,瑞雷面波测试仪器都具有现场处理资料的能力,但是为了提高测试工作的效率和资料处理效果,往往把测试数据带回基地,在室内完成后续的测试资料精细处理和解释。资料处理工作主要包括:原始记录的整理和质量评价;提高信号质量的处理;面波速度的计算和结果输出。
野外实际测试工作量大,采集点多,尤其是要求分辨率较高的勘探。因而规范、有序的整理、评价工作是资料处理、解释的重要基础。在面波速度的计算过程中,需要准确判读振动记录图上的相位。为此,在判读前采用适当的滤波方法消除某些干扰二产生的畸变。瑞雷面波勘探的核心问题是要准确地获得不同频率面波的相速度,同一频率面波的相速度在水平方向的变化反映出地质条件的横向不均匀性,不同频率面波的相速度的变化则反映出介质在深度方向的不均匀性。
(一)时间差法
在最简单的情况下,面波以单频f的简谐波形式传播,距震源为x处的垂向位移可以表示为
![]()
式中:φ为相位。
沿波的传播方向,在地表布置距离为Δx的两个检波器1和2(图8-36),如将测得的两条曲线的第一个峰值代表该波的同一个相位,测出它们到达检波器的时差Δt。由同相含义有

这样(https://www.daowen.com)
![]()
一般将Δx调整为小于一个波长的长度。

图8-36 瑞雷面波勘探原理示意图
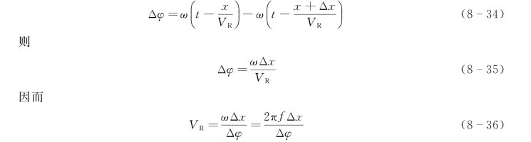
(二)相位差法
如果在同一时刻t观测到单频波在两个检波器处的相位差Δφ,则根据位移表达式(8-28)有

式(8-36)表明,可以用距离Δx的两个检波器记录波形的相位差Δφ,从而获得介质的面波速度的变化特征。