(试卷Ⅴ)
一、填空题(本题共5小题,每小题3分,满分15分)
(1)【同试卷Ⅳ 第一、(1)题】 (2)【同试卷Ⅳ 第一、(2)题】
![]()

(5)一实习生用同一台机器接连独立地制造3个同种零件,第i个零件是不合格品的概率pi=i+1
1(i=1,2,3),以X表示3个零件中合格品的个数,则P{X=2}=_________.
二、选择题(本题共5小题,每小题3分,满分15分)
(1)设f′(x0)=f″(x0)=0,f‴(x0)>0,则下列选项正确的是
(A)f′(x0)是f′(x)的极大值.(B)f(x0)是f(x)的极大值.
(C)f(x0)是f(x)的极小值.(D)(x0,f(x0))是曲线y=f(x)的拐点.
(2)设f(x)处处可导,则

(3)【同试卷Ⅳ 第二、(3)题】 (4)【同试卷Ⅳ 第二、(4)题】
(5)设A,B为任意两个事件,且A⊂B,P(B)>0,则下列选项必然成立的是(https://www.daowen.com)
(A)P(A)<P(A|B).(B)P(A)≤P(A|B).(C)P(A)>P(A|B).(D)P(A)≥P(A|B).
三、(本题满分6分)【同试卷Ⅳ 第三题】
![]()
五、(本题满分6分)【同试卷Ⅳ 第五题】 六、(本题满分7分)【同试卷Ⅳ 第七题】
七、(本题满分9分)已知一抛物线通过x轴上的两点A(1,0),B(3,0).
(1)求证:两坐标轴与该抛物线所围图形的面积等于x轴与该抛物线所围图形的面积;
(2)计算上述两平面图形绕x轴旋转一周所产生的两个旋转体体积之比.
八、(本题满分6分)设f(x)在[a,b]上连续,在(a,b)内可导,且
).求证:在(a,b)内至少存在一点ξ,使f′(ξ)=0.
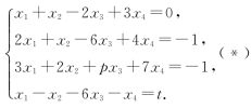
九、(本题满分9分)已知线性方程组
讨论参数p,t取何值时,方程组无解、有解;
当有解时,试用其导出组的基础解系表示其通解.
十、(本题满分7分)设有4阶方阵A满足条件|3E+A|=0,AAT=2E,|A|<0,其中E是4阶单位阵.求方阵A的伴随矩阵A*的一个特征值.
十一、(本题满分7分)【同试卷Ⅳ 第十一题】
十二、(本题满分6分)假设一电路装有三个同种电气元件,其工作状态相互独立,且无故障工作时间都服从参数为λ>0的指数分布.当三个元件都无故障时,电路正常工作,否则整个电路不能正常工作.试求电路正常工作的时间T的概率分布.