【实验原理】
气体的定压比热容CP与定容比热容CV之比。在热力学过程特别是绝热过程中是一个很重要的参数,测定的方法有好多种。这里介绍一种较新颖的方法,通过测定物体在特定容器中的振动周期来计算γ 值。实验基本装置如图2-17所示,振动物体小球的直径比玻璃管直径仅小0.01~0.02mm。它能在此精密的玻璃管中上下移动,在瓶子的壁上有一小口,并插入一根细管,通过它各种气体可以注入烧瓶中。

图2-17 实验装置
钢球A 的质量为m,半径为r(直径为d),当瓶子内压力P满足下面条件时钢球A 处于力平衡状态。这时,式中PL为大气压力。为了补偿由于空气阻尼引起振动物体A 振幅的衰减,通过C管一直注入一个小气压的气流,在精密玻璃管B的中央开设有一个小孔。当振动物体A 处于小孔下方的半个振动周期时,注入气体使容器的内压力增大,引起物体A 向上移动,而当物体A 处于小孔上方的半个振动周期时,容器内的气体将通过小孔流出,使物体下沉。以后重复上述过程,只要适当控制注入气体的流量,物体A 能在玻璃管B 的小孔上下作简谐振动,振动周期可利用光电计时装置来测得。
若物体偏离平衡位置一个较小距离x,则容器内的压力变化dp,物体的运动方程为

因为物体振动过程相当快,所以可看作绝热过程,绝热方程

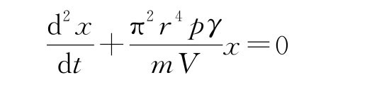
将式(2-21)求导得出

将式(2-22)代入式(2-20)得

此式即为熟知的简谐振动方程,它的解为


式中各量均可方便测得,因而可算出γ 值。由气体运动论可以知道,γ 值与气体分子的自由度数有关,对单原子气体(如氩)只有三个平均自由度,双原子气体(如氢)除上述3个平均自由度外还有2个转动自由度。对多原子气体,则具有3个转动自由度,比热容比γ与自由度f 的关系为。理论上得出
单原子气体(Ar,He) f=3 γ=1.67
双原子气体(N2,H2,O2) f=5 γ=1.40
多原子气体(CO2,CH4) f=6 γ=1.33
且与温度无关。
本实验装置主要由玻璃制成,且对玻璃管的要求特别高,振动物体的直径仅比玻璃管内径小0.01mm左右,因此振动物体表面不允许擦伤。平时它停留在玻璃管的下方(用弹簧托住)。若要将其取出,只需在它振动时,用手指将玻璃管壁上的小孔堵住,稍稍加大气流量物体便会上浮到管子上方开口处,就可以方便地取出,或将此管由瓶上取下,将球倒出来。
振动周期采用可预置测量次数的数字计时仪(分50次、100次二挡),采用重复多次测量。
振动物体直径采用螺旋测微器测出,质量用物理天平称量,烧瓶容积由实验室给出,大气压力由气压表自行读出,并换算N/m2(760mmHg=1.013×105N/m2)。