【附录】
1.式(2-18)的简单推导
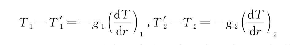
在推证式(2-16)时,假设紧邻钨丝或玻壁的气体温度分别与钨丝或玻壁的温度相同,于是在气体内部,其径向温度分布如以“1nr-T”图表示,应如图2-15中虚线T1、T2所示,但在低气压条件下,实验的径向温度分布与上述假设是有差异的。图中实线表明,在紧邻钨丝或玻壁的气体薄层内(厚度约为气体分子运动的平均自由程λ的数量级),有明显的温度跃变现象,跃变的温度差可形式上写成:


图2-15 气体内部径向温度分布
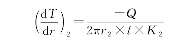
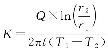
g1和g2可以形式上称为温度跃变距离。根据热传导定律有

因而由前两式可得

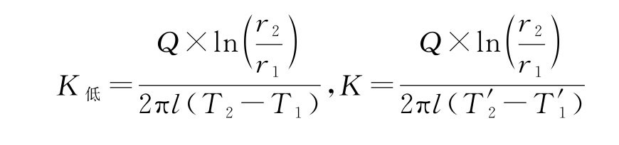
对于实验中的低气压气体的表面导热系数和内部的实际导热系数分别有

将它代入上式即有

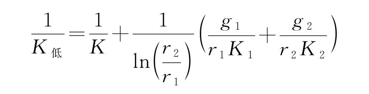
理论和实验均可证明g∝λ,因而与温度改变有关的修正项分别为λ/r1和λ/r2的数量级。在常压下该项修正是微不足道的,但在低气压条件下就不能不考虑了。在我们的实验条件下,r2≫r1,上述第二个修正项可以略去,又考虑到λ∝(1/p),则上式可化为

其中的A 是包括在内的新的常数。
2.实验条件的选择
(1)热线温度的选择。实验计算的基本公式是,可见热线温度T1若取得高,T1和T2的测量误差对于K 的影响就会减小,而且传导的热量Q 会增大,电表的值也会增高,从而减少相对误差。但是从另一方面看,导出上述公式的出发点是在气体内部维持稳定的径向分布的温度场,T1越高,径向的温度梯度越大,越不易维持稳定的温度分布。所以,热线温度一般取300℃左右为宜。
(2)测量时气压的选择。本实验中用外推法求常压下气体的导热系数,所依据的公式是。从附录Ⅰ的简单推导可以看出,它的重要的条件就是在钨丝表面附近气体分子运动的平均自由程和钨丝半径的数量级相当,所以测量时气压不宜太低,一般取(1~10)×133.322Pa为宜。
3.FB-202型气体导热系数测定仪外形图及部件名称(图2-16)

图2-16 FB-202型气体导热系数测定仪示意图
1—三通Ⅰ;2—测量室;3—三通Ⅱ;4—测量室电压表;5—气压表;6—电源指示灯;
7—电源总开关;8—真空计置零按钮;9—真空计校准(+);10—真空计校准(-);
11—真空计单位转换;12—测量室温度设置;13—测量室电源开关;14—真空泵
电源开关;15—真空泵;16—测量室电流表;17—针阀