【实验原理】
1.电桥测量原理
直流单电桥测量电阻的原理如图2-21所示。图中由精密电阻箱表示的标准电阻Ra、Rb、R 及待测电阻Rx构成四边形,每一边称电桥的一个臂。

图2-21 直流单电桥原理图
当接通电源开关B 和检流计开关G 时,检流计有电流通过,但当调节四个桥臂到适当值时,检流计无电流通过,即IG=0,称“电桥平衡”。电桥平衡时流过Ra和Rx的电流相同,用I1表示;流过Rb和R 的电流相同,用I2表示。从而有以下关系式:
I1Ra=I2Rb
I1Rx=I2R
两式之比,有

说明电桥平衡时四个桥臂电阻成比例,因此,待测电阻Rx的阻值为

式中:M 为比率,;Ra,Rb分别为比例臂;R 为比较臂。
如用精确的电阻作为桥臂,只要检流计灵敏度足够高,就可得到准确的测量结果。由此可见,直流单电桥测量电阻的误差主要来源于三个桥臂电阻的误差和电桥灵敏度。
电阻箱表示的电阻值也存在误差,其相对不确定度

式中:m 为电阻箱表示的电阻值所用到十进位转盘个数,取1~6中某个整数;R 为电阻箱表示的电阻值大小,单位Ω。
2.电桥灵敏度
式(2-23)是在电桥平衡的条件下推导出来的,而电桥是否平衡,由检流计指针有无可觉察的偏转来判断。检流计的灵敏度总是有限的,当指针的偏转小于0.2分格时就很难觉察出来,这称为人眼的灵敏阀。在电桥平衡时,设某个桥臂电阻R,若把R 改变一个小量ΔR,电桥失去平衡,从而有电流流过检流计,如果电流很小以致未能觉察出检流计指针的偏转,就认为电桥仍然平衡,从而得出错误的结论。为了估计这种误差,引入电桥灵敏度的概念,它定义为

式中:ΔR 为电桥平衡时电阻的微小改变量;Δn 为由于R 变为R+ΔR 后检流计偏离平衡位置而偏转的格数,S 为电桥对桥臂电阻不平衡的反应能力。
显然S 越大,电桥越灵敏,由此带来的误差也越小。
电桥的灵敏度S 与检流计的灵敏度、电源电压E、四个桥臂电阻有关。可以证明,输入电压越高,检流计灵敏度越高,电桥的灵敏度也就越高。由于桥臂电阻功耗限制,输入电压不能过高;另一方面,检流计的灵敏度也是有限的,故电桥的灵敏度有限。电桥的灵敏度可由对电桥电路分析得出,也可由实验测得。由于标准电阻R 一般不能连续调节,其最小步进值也会影响测量精度,所以电桥的灵敏度应与R 相适应。
3.QJ-23型箱式电桥
如图2-22所示,Ra和Rb用一系列阻值从小到大的标准电阻串联起来代替,而C 点可在各电阻之间变动,使比率按十进制变化,R 用标准可变电阻箱代替,当电桥平衡时,待测电阻Rx=MR。把所有这些电阻箱、检流计、电池、电阻及电键全部线路装在一个箱子里,组成了箱式电桥,便于携带和使用。如图2-23所示,作为比较臂标准电阻R,由四个转盘组成,总电阻为9999Ω,比例臂Ra和Rb由8个定位电阻串联而成,比率转盘M 可改变接线点C的位置,使比率M 由0.001~1000共七挡可选。在不同的比率挡,被测电阻的测量范围和电桥的准确度不同。具体见表2-10。

图2-22 单电桥电路图

图2-23 QJ-23型携带式单电桥
表2-10 QJ-23型箱式电桥铭牌上参数

当倍率在10以上时,为了提高电桥灵敏度,应外接较高电压的电源和灵敏度更高的检流计,将它们分别接于“B”外和“G”外两对接线柱上。本实验使用内接电源和内装检流计,这时“G”外接和“B+、B-”两对接线柱分别用专用金属片短接,实验时请勿取开。
板面上标有“B、G”两个按钮开关,分别用于接通电源和检流计。电源需连续接通时可将按钮“B”压下并旋转一个角度。开关“G”只能作瞬间通断开关使用,不许持续接通,以免检流计电流过大而损坏仪表。符号“Rx”两侧的端钮用来接入待测电阻。特别强调:测量结束时必须断开电源开关!
4.自组电桥测电阻
自组电桥测电阻可分为测单个电阻和测相同标称值的一组电阻(本实验指电阻盒中R3~R8中6个电阻组成一组电阻)两类。前者通常改变比率进行多次重复测量,后者通常保持比率恒定测量相同标称值的一组电阻中每个电阻。
(1)自组电桥测量单个电阻不确定度分析。直流单电桥测量电阻的误差主要来源于三个桥臂电阻的误差和电桥灵敏度。若改变比率对Rx进行多次重复测量,其平均值为。
1)桥臂电阻箱表示的电阻值不确定度对Rx测量结果的影响(不确定B类分量1)。
由式(2-25)知,每个电阻箱表示的电阻值不确定度

其中m 为电阻箱所用十进位转盘个数(m 最大是6)。
由于自组电桥桥臂电阻Ra、Rb、R 由三个电阻箱组成,一般R≫m,所以

实际测量时取

2)电桥的灵敏度高低对Rx测量结果的影响(不确定B类分量2)。
由于人眼的灵敏阀为0.2分格,若自搭电桥灵敏度为S,由式(2-26)知

3)Rx的不确定度A 类分量。
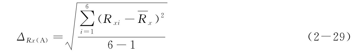
一般对Rx重复测量6次,Rx的不确定度A 类分量为

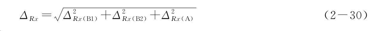
综上所述,单个电阻Rx测量结果总不确定度

通常情况下ΔRx(B1)比ΔRx(B2)和ΔRx(A)大得多,因此

Rx测量结果表示式

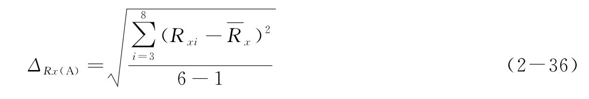
(2)自组电桥测量相同标称值一组电阻不确定度分析。电阻盒R3~R8中6个相同标称值电阻组成一组电阻,其平均值可表示为

1)桥臂电阻箱表示的电阻值不确定度对测量结果的影响(不确定B 类分量1)。由式(2-26)知

2)电桥的灵敏度高低对测量结果的影响(不确定B类分量2)。由式(2-28)知

3)不确定度A 类分量。测电阻盒R3~R8中6个相同标称值电阻,不确定度A 类分量

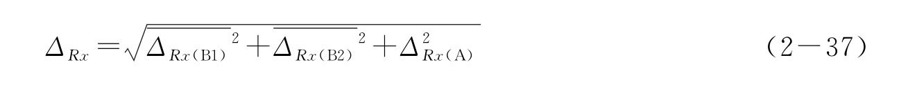
综上所述,一组电阻测量结果总不确定度

测量结果表示式
