【数据记录与处理】
2025年09月26日
【数据记录与处理】
1.数字万用表测电阻
用数字万用表测电阻盒中10个电阻阻值,结果填入表2-11。电阻单位Ω,下同。
表2-11 数字万用表测电阻

2.箱式电桥测电阻
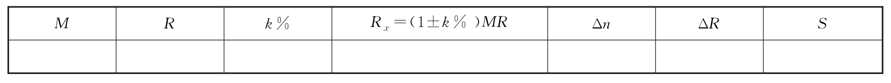
QJ-23箱式电桥检流计“外接”方法测电阻R10,并由式(2-26)计算电桥灵敏度S。根据表2-11 中R10大小,由表2-10 查得电桥比率M、精度等级k,数据填入表2-12中。
表2-12 箱式电桥测电阻

3.自组电桥测电阻
用自组电桥测电阻盒R3~R8中6个相同标称值电阻并计算总不确定度。
(1)选被测电阻R5,测自组电桥灵敏度S。数据填入表2-13,S 由式(2-26)计算。
表2-13 自组电桥灵敏度测量

(2)测电阻盒中R3~R8中每个电阻阻值,取Ra=1000Ω,Rb=3000Ω,数据填入表2-14,Rx值由式(2-24)计算。不确定度用式(2-34)、式(2-35)、式(2-36)、式(2-37)、式(2-38)计算。
表2-14 自组电桥测电阻盒电阻
