【提示与注意事项】
1.信号源采用正弦波输出
对RC、RL、RLC 电路的稳态特性采用正弦波。
注意:仪器采用开放式设计,使用时要正确接线,不要短路功率信号源,以防损坏。
2.RC串联电路的幅频特性和相频特性研究
(1)幅频特性。选择正弦波信号,保持其输出幅度不变,分别用示波器测量不同频率时的UR、UC,可取C=0.022μF,R=1kΩ,也可根据实际情况自选R、C 参数。用双通道示波器观测时可用一个通道监测信号源电压,另一个通道分别测UR、UC,但需注意两通道的接地点应位于线路的同一点,否则会引起部分电路短路,作RC 串联电路的幅频特性图。
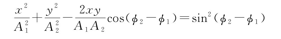
(2)相频特性。将信号源电压U 和UR分别接至示波器的两个通道,可取C=0.022μF,R=1kΩ(也可自选)。从低到高调节信号源频率,观察示波器上两个波形的相位变化情况,可用李萨如图形法观测,并记录不同频率时的相位差,作RC 串联电路的相频特性图。
注意下式为同频率的李萨如图形的椭圆方程,可以计算相位差。

3.RL 串联电路的幅频特性和相频特性研究
测量RL 串联电路的幅频特性和相频特性与RC 串联电路时方法类似,可选L=10mH,R=1kΩ,也可自行确定,作RL 串联电路的幅频特性和相频特性图。
4.RLC 串联电路的幅频特性和相频特性研究
自选合适的L 值、C 值和R 值,用示波器的两个通道测信号源电压U 和电阻电压UR,计算Q 值。
(1)幅频特性。保持信号源电压U 不变(可取UPP=5V),根据所选的L 值和C 值,估算谐振频率,以选择合适的正弦波频率范围。从低到高调节频率,当UR的电压为最大时的频率即为谐振频率,记录下不同频率时UR的大小,作RLC 串联电路的幅频特性图。
(2)相频特性。用示波的双通道观测U 的相位差,UR的相位与电路中电流的相位相同,观测在不同频率下的相位变化,记录下某一频率时的相位差值,作RLC 串联电路的相频特性图。
5.RLC 并联电路的幅频特性和相频特性研究(选做内容)
按图4-14进行连线,注意R 为电感的内阻,它的值可用欧姆表测量,选取L=10mH、C=0.022μF、R'=1kΩ。也可自行设计选定。注意R'的取值不能过小,计算Q 值。作RLC并联电路的幅频特性和相频特性图。

图4-14 RLC 并联电路
(1)幅频特性。保持信号源的U 值幅度不变(取UPP为4V),测量U 和U'R的变化情况。
(2)相频特性。用示波器的两个通道,测U 与U'R的相位变化情况。自行确定电路参数。