【附录】
RC、RL、RLC 稳态特性描述
1.RC 串联电路的稳态特性
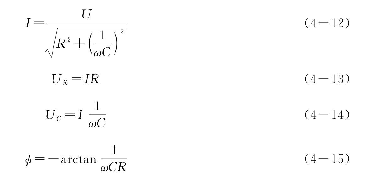
(1)RC 串联电路的频率特性。在图4-15所示电路中,电阻R、电容C 的电压有以下关系式:

其中ω 为交流电源的角频率,U 为交流电源的电压有效值,φ 为电流和电源电压的相位差,它与角频率ω 的关系如图4-16所示。可见当ω 增加时,I 和UR增加,而UC减小。当ω 很小时φ→-,ω 很大时φ→0。

图4-15 RC 串联电路

图4-16 RC 串联电路的相频特性
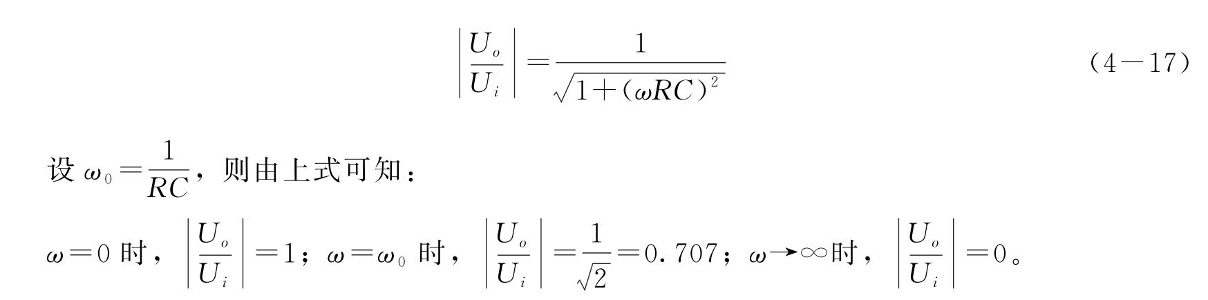
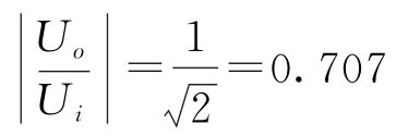
(2)RC 低通滤波电路。如图4-17所示,其中Ui为输入电压,Uo为输出电压,则有

它是一个复数,其模为

可见随ω 的变化而变化,并且当ω<ω0时,
变化较小,ω>ω0时,
明显下降。这就是低通滤波器的工作原理,使较低频率的信号容易通过,而阻止较高频率的信号通过。
(3)RC 高通滤波电路。RC 高通滤波电路的原理图如图4-18所示。

图4-17 RC 低通滤波器电路

图4-18 RC 高通滤波器电路
根据图4-18分析可知有

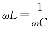
同样令,则
ω=0时,;ω=ω0时,
;ω→∞时,
。
可见该电路的特性与低通滤波电路相反,它对低频信号的衰减较大,而高频信号容易通过,衰减很小,通常称作高通滤波电路。
2.RL 串联电路的稳态特性
RL 串联电路如图4-19所示,可见电路中I、U、UR、UL有以下关系:

可见RL 电路的幅频特性与RC 电路相反,ω 增加时,I、UR减小UL则增大。它的相频特性如图4-20所示。因此ω 很小时φ→0,ω 很大时φ→π/2。
3.RLC 电路的稳态特性
在电路中如果同时存在电感和电容元件,那么在一定条件下会产生某种特殊状态,能量会在电容和电感元件中产生交换,这种现象称为谐振现象。
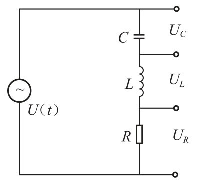
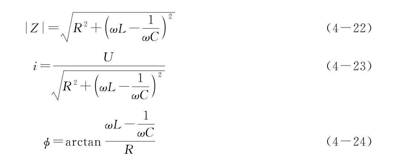
(1)RLC 串联电路。在如图4-21所示电路中,电路的总阻抗|Z|,电压U 和i之间有以下关系:

图4-19 RL 串联电路

图4-20 RL 串联电路的相频特性

图4-21 RLC 串联电路

其中ω 为角频率,可见以上参数均与ω 有关,它们与频率的关系称为频响特性,如图4-22所示。

图4-22
由图4-22(a)可知,在频率f0处阻抗|Z|值最小,且整个电路呈纯电阻性,而电流i达到最大值,f0称为RLC 串联电路的谐振频率(ω0为谐振角频率)。从图4-22(b)还可知,在f1~f0~f2的频率范围内i值较大,称为通频带。
下面我们推导出f0(ω0)和另一个重要的参数品质因数Q。
当时,从式(4-22)、式(4-23)及式(4-24)可知


可见并联谐振频率与串联谐振频率不相等(当Q 值很大时才近似相等)。

图4-23 RLC 并联电路的阻抗特性、幅频特性、相频特性
图4-23给出了RLC 并联电路的阻抗、相位差和电压随频率的变化关系。和RLC 串联电路类似,品质因数。
由以上分析可知RLC 串联、并联电路对交流信号具有选频特性,在谐振频率点附近,有较大的信号输出,其他频率的信号被衰减。这使得高频电路在通信领域中得到了非常广泛的应用。