后期墨家和后期名家关于物质构成和运动的讨论

五 后期墨家和后期名家关于物质构成和运动的讨论

后期墨家的《墨经》的《经上篇》著作较早,对自然界物质结构和运动提出了一整套的看法,引起了名家的讨论和辩驳。后期墨家的《墨经》的《经下篇》著作较晚,是针对名家的辩驳而进一步阐明自己的见解的,而后期名家又进一步进行了讨论和辩驳。

关于自然界物质结构问题的讨论,有两个重点:一是构成万物的物质粒子是否可以再分割?二是“石”是否由有“坚”的属性的物质粒子和有“白”的属性的物质粒子相“盈”而组成?

物质粒子是否可以再分割的讨论 后期墨家提出万物由不可分割的物质粒子通过不同的组织结合而构成的学说。他们把物质粒子叫做“端”,说:“端,是无间也。”(《经说下篇》,“间”原误作“同”,从梁启超校改)“无间”就是说不可再分割。后期名家对这个观点进行了反驳,后期墨家对此作了进一步的说明:

非半,弗则不动,说在端。(《经下篇》)

半,进前取也。前,则中无为半,犹端也。前后取,则端中也。必半。无与、非半,不可也。(《经说下篇》)

,斫断、分割的意思。“非半,弗则不动”,是说“端”是最小的物质粒子,没有内部结构,已不是两个半部所构成,有着“非半”的特性,因此不可能再分割(“弗”),结果不可能加以分裂变动(“不动”)。“半,进前取也”,是说把物质构成的线,从其中点砍掉一半,不断从前进的方向割取一半。“前,则中无为半,犹端也”,是说不断地从前进方向割取一半,割取到最后,就会只剩下“中无为半”(中间没有分成两个半部)的物质粒子,结果还是剩下一个“端”。例如下图:

为一条物质构成的线,先从的中点C1,砍掉,留取;再从的中点C2,砍掉,留取,这样不断割取,最后会剩下CnB,只剩一点,这就是“端”。

“前后取,则端中也”,是说先把物质构成的线,从其中点分成前后两个半部;接着从后半部的中点砍掉一半,留取前进方向的一半;再从前半部的中点砍掉一半,留取后退方向的一半。这就是“前后取”的一种割取方法。这样的“前后取”方法,不断把后半部和前半部砍掉一半,割取到最后,就会只剩下中心的一个“端”。这个“端”的位置正好在全线的中点,所以说“端中也”。例如下图:

为一条物质构成的线,先从它的中点C把全线分为前后两个半部,再从前后两个半部的中点C1,砍掉,留取;更从前后两半部的中点C2,砍掉,留取;这样不断割取,最后会剩下CnC,只剩一点,这就是全线中心的“端”。“必半”,“半”是指可以分成两半的物质,这是说,必须是可以分成两半的物质才能分割。“无与、非半,不可也”,“无与”是说没有相关连的物质,孤零零的一个物质粒子;“非半”是指不可以再分割成为两半的物质粒子,这是说,如果是“无与”而“非半”就不可能再分割。这是后期墨家通过具体分析,对物质粒子的不可分割性所作的具体说明。

当时后期名家提出反驳说:

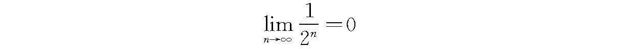
一尺之棰,日取其半,万世不竭。(《庄子·天下篇》)

棰,鞭子。后期名家认为一尺长的棰,每天砍掉一半,永远砍不完。具体说来,第一天剩下尺,第二天剩下尺,第三天剩下尺,到n天剩下尺。的数值日益接近于零,但是永远不等于零。用高等数学上的符号lim(极限)和∞(无穷大)表示,就是:

事实上,物质是可以无限分割的。后期名家认为物质不断地可以一分为二,是朴素的辩证法的论断,要比后期墨家正确。

“石”是否由“坚”和“白”两种物质粒子相“盈”而构成的讨论 后期墨家认为万物由物质粒子经过五种不同的组织结合方式而构成,其中最重要的组织结合方式是“盈”,就是相互充满的组织结合方式,可以由此累积起来构成有厚度的体积。还举出例子,认为“石”是由有“坚”的属性的物质粒子和有“白”的属性的物质粒子相“盈”而构成。不过这种假设只是直接观察的结果,缺乏可靠的科学依据。因此,就引起后期著名的名家公孙龙的反驳。

公孙龙,赵国人,曾在平原君门下为“客”,先后游说燕昭王、赵惠文王“偃兵”,又曾在平原君处同孔穿(孔子六世孙)辩论。公孙龙也根据直接观察,认为用手只能得到“坚”的感觉,用眼只能得到“白”的感觉,因此“坚”和“白”在“石”中是相“离”的。《公孙龙子》有《坚白论》,就是反驳“坚”、“白”相“盈”的说法,而主张“坚”、“白”相“离”的。《坚白论》中所反驳的论敌,就是指后期墨家。后期墨家说:“无久与宇,坚白,说在因。”(《经下篇》)“无久与宇”,是说没有时间和空间的差别;“因”,是说有着相互依存关系。这是说,“坚”和“白”在“石”中相“盈”,是在同一时间和同一位置上存在,没有时间和空间的差别,有着相互依存的关系。公孙龙认为用手摸石,知坚而不知白;用眼看石,见白而不见坚,这样有知有不知,有见有不见,就可以证明“坚”和“白”相离的。后期墨家反驳公孙龙这个论点说:“于一,有知焉,有不知焉,说在存。”(《经下篇》)“石,一也;坚白,二也,而在石。故有智(知)焉,有不智(知)焉可。”(《经说下篇》)这是说,在一块“石”中,存在“坚”和“白”二者,尽管由于感觉器官的感觉范围不同,眼看时只能见到“白”而不能知道“坚”,手摸时只能摸到“坚”而不能知道“白”,有知道的,有不知道的,还是可以认为“坚”和“白”同时存在一“石”中。公孙龙在《坚白论》中讲到论敌驳他说:由于视觉和触觉的“异任”(不同职司),不能相互代替,因而“目不能坚,手不能白”,但是不能否认“坚”、“白”同时存在一块“石”中,不能认为“坚”和“白”是相“离”的。公孙龙所说的正是《墨子·经下篇》的主张。这场争论曾哄动一时,引起学术界广泛注意,就是因为这是有关物质世界如何构成的问题。

关于运动和静止的讨论 后期墨家曾经对运动和静止下定义说:“止,以久也”。“必,不已也”(《经上篇》)。就是说,“止”是说停止,“以久”是说停留一些时刻,认为停止是指一个运动中的物体在某一位置上停留一些时刻。“必”是说坚持不停,“不已”是不停止,认为不停止是指一个运动的长期坚持不停。后期名家反驳这个说法说:“飞鸟之景(影),未尝动也。”“矢之疾(快速),而有不行不止之时”(《庄子·天下篇》)。名家这样看法具有朴素的辩证观点。如果把飞鸟的运动所经过的时间和空间加以分割,分成许多小点,就可以见到“飞鸟之影”在某一刹那停留在某一小点上,所以是“未尝动也”。