7.1 傅科摆的动力学方程
设傅科摆摆长为l(远大于摆锤尺寸),摆锤质量为m,悬挂于北纬ψ度处。由于摆长远大于摆锤尺寸,当摆锤做小角度摆动时,可认为摆锤在水平面内运动。如图7-1所示,以摆锤平衡位置为原点O,Ox指向正南方向,Oy指向正东方向,建立直角坐标系。
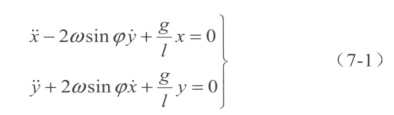
摆锤受重力、科氏惯性力和摆线张力,假设摆线张力FT≈mg,可得出动力学微分方程为

其中,g为重力加速度;ω为地球自转角速度;ψ为实验所在地的纬度。

图7-1 傅科摆示意图
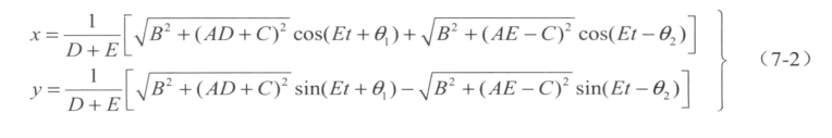
此方程组的求解非常烦琐,用数学方法直接求出其通解有一定的难度,通解的形式也很复杂。如果限定一定的初始条件,例如限定摆动初始条件为:
,即在x轴上以一定初速释放摆锤,则该方程组的解可简化为

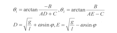
其中,

下面利用MATLAB的微分方程求解函数dsolve对该方程组进行求解。