导文网
搜索
首页>
图书频道>
理学>
数学物理化学
9.1 对径受压圆盘的应力分布
2026年01月14日
版权
9.1 对径受压圆盘的应力分布
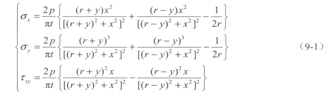
如图9-1所示的对径受压圆盘,圆盘半径为r,厚度为t。按弹性力学理论,圆盘表面的应力解为
(https://www.daowen.com)
图9-1 巴西圆盘试件尺寸图
上一章
下一章
目录