8.2 用ode45求解常微分方程
2026年01月14日
8.2 用ode45求解常微分方程
上述微分方程组比较复杂,用dsolve求解解析解非常耗时,且不一定可行。在实际应用中,对于复杂的微分方程(组),很多时候解析解是很难得到的,因此经常以求解数值解来代替解析解。本节介绍一个求解微分方程数值解的函数—ode45。ode45采用四阶和五阶Runge-Kutta单步算法,用变步长求解器求解非刚性常微分方程,其解具有二阶精度。在MATLAB中,ode45是解决微分方程(组)数值解问题的首选方法。

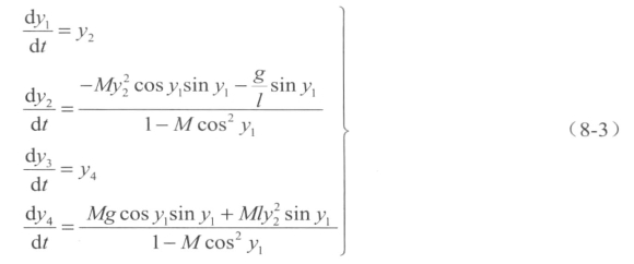
ode45求解常微分方程(组)的最重要一步就是对方程(组)进行降阶处理,使求解方程(组)全部变为一阶微分方程。对于式(8-2),可进行如下降阶处理。
令
,则式(8-2)化为四个一阶微分方程:

进行降阶处理后,就可用ode45命令直接求解。
为了更直观地了解滑动摆滑块与摆锤之间的相对运动,可以利用MALTAB的可视化功能对滑动摆的运动进行可视化模拟。滑动摆的可视化过程与上一章傅科摆可视化类似,这里不再赘述,只给出程序。
可视化程序完成两个功能:第一是绘制系统运动参数x和θ的时程变化曲线(图8-2),第二是生成一个模拟滑动摆运动过程的动画(avi视频文件)。图8-3是其中一帧图像(动画制作的内容将在第9章介绍)。(https://www.daowen.com)

图8-2 滑块位置与摆线角度随时间变化曲线

图8-3 某时刻滑动摆的运动状态图


