报告三 湖北省生物医药产业发展科技战略研究
研究依托单位:湖北省科技信息研究院
专题组长:盛建新
主要研究人员:田 畯 门玉英 孙 晶
汤华波 余昶颖
目前生物医药并无严格的定义,狭义的“生物医药”,是指人们运用现代生物技术生产的用于人类疾病预防、诊断、治疗的医药产品,包括基因工程药物、基因工程疫苗、新型疫苗、诊断试剂(盒)、微生态制剂药物、血液制品及代用品等。广义的生物医药是指将现代生物技术与各种形式的新药研究、开发、生产相结合,以及与各种疾病的诊断、预防和治疗相结合的现代医药,所有涉及化学制药、生物技术制药、生物医药工程、医疗仪器等产业都属于生物医药产业范畴。本研究将生物医药主体产业的范畴按照国家行业标准的方式和湖北省科学技术厅有关政策及研究报告进行分类,结合我省生物医药产业发展实际情况将生物医药定位为生物制药、化学合成药、现代中药、生物医学工程、生物医药研发外包服务五大领域。
生物医药产业是我省“十一五”期间重点发展的高新技术产业之一,近年来,全省生物医药产业取得了长足发展,生物医药科技创新能力日益提高。“十二五”我省将进入工业化中期阶段,加强我省生物医药科技支撑能力建设,对实现产业结构优化升级、全面提升自主创新能力、转变经济发展方式、保障和改善民生具有重要意义。
一、世界生物医药产业发展的基本概况
从世界生物医药产业发展趋势来看,目前正处于生物医药技术大规模产业化的开始阶段,预计到2020年后将进入快速发展期,并逐步成为世界经济的主导产业。
(一)生物医药产业化进程明显加快
从1982年第一个新生物技术药物基因重组人胰岛素上市至2008年底,全球药品销售总额达7730亿美元,有260多种包括重组(血液)产品、单抗类制剂和重组疫苗等在内的新生物技术药获得批准上市,全球生物制药产业的年销售额连续10 年增长速度保持在15%~33%,大大高于全球医药行业年均不到10%的增长速度,生物医药产业正快速由最具发展潜力的高技术产业向高技术支柱产业发展。
(二)市场集中、产品集中的趋势显著
美国、欧洲、日本少数发达国家在全球生物医药市场中占有绝对比重,三大药品市场的份额超过了80%.正在研发的生物技术药物品种63%在北美,25%在欧洲,7%在日本;生物技术专利的59%来自美国,19%来自欧洲,17%来自日本。世界生物技术公司主要集中在欧美,占全球总数的76%,欧美公司的销售额占全球生物技术公司销售额的93%,而亚太地区的销售额仅占全球的3%左右。目前,在超过30亿美元的10种生物技术药中有7种的销售额超过40亿美元,有3种超过50亿美元,这说明生物技术药物有巨大的市场需求和非常高的集约度,并且这种市场集中状况在短期内不会改变。
(三)全球已形成若干生物医药产业密集区
在生物技术产业迅猛发展的浪潮推动下,经过多年的发展和市场竞争,加上政府不失时机地加以引导,许多发达国家在技术、人才、资金密集的区域,已逐步形成了生物产业聚集区,由此形成了比较完善的生物医药产业链和产业集群。美国已形成了旧金山、波士顿、华盛顿、北卡、圣迭戈五大生物技术产业区。除美国外,英国的剑桥基因组园、法国巴黎南郊的基因谷、德国的生物技术示范区、印度班加罗尔生物园等,聚集了包括生物公司、研究、技术转移中心、银行、投资、服务等在内的大量机构,提供了大量的就业机会和大部分产值。这些生物技术产业集群已在这些国家和地区产业结构中崭露头角,对扩大产业规模、增强产业竞争力作出了重要贡献。
(四)新生物技术药研发投入不断加大
为应对科技创新瞬息万变和国际科技竞争日趋激烈的局势,各大型跨国医药企业争相加大科研投入。全球大型制药公司研发投入占销售额的比重在9%~18%之间,而著名生物技术公司的研发投入占销售额的比重则在20%以上,对于纯粹的生物技术公司,研发投入比重更大。与2006年报道的处在临床开发阶段的418 种新生物技术药相比, 2008 年增长了51.44%,达633种。
(五)各国政府高度重视
许多国家都把生物技术产业作为21世纪优先发展的战略性产业,纷纷制定发展计划,加强领导,网罗人才,加大对生物医药产业的政策扶持与资金投入。美国将生物医药产业作为新的经济增长点,实施“生物技术产业激励政策”,持续增加对生物技术研发和产业化的投入;日本制定了“生物产业立国”战略;欧盟科技发展第六个框架将45%的研究开发经费用于生物技术及相关领域;新加坡制定了“五年跻身生物技术顶尖行列”规划,5年内将拨款30亿新元资助生命科学和生物技术产业;印度成立了生物技术部,每年投入6000~7000万美元用于生物技术和医药研究;20世纪90年代古巴在经济十分困难的情况下,就启动了“生物技术投资计划”,投入10亿美元发展生物技术产业,20年来专利超过400多项,生物医药产品出口到英国等20多个国家,直接促进了古巴经济的繁荣。
二、湖北生物医药产业和科技发展现状分析
(一)湖北生物医药产业发展现状
1.生物医药资源丰富,具备承载产业发展的良好基础
我省蕴藏着丰富的中药材资源,具有各类中药材达3970 种,占全国品种数量的75%左右,居全国第2位;全省中药材种植总面积约1867km2,家种药材产量居全国第7 位,种植产值达25.16亿元,野生药材蕴藏量居全国第11 位,药材市场收购量居全国第5 位;有黄连、党参、紫油厚朴、贝母、茯苓、杜仲、黄柏等特色名贵中药材。
2.产业规模不断扩大,培育了一批重点企业和有竞争力的产品
2005至2007年,湖北省生物产业产值分别为242.7亿元、290.7亿元、360.9亿元,以年均20%以上的速度增长。其中,2007年生物医药产值为205.3亿元,占生物产业产值的56.9%.拥有武汉健民、马应龙药业、人福药业、广济药业、春天生物、天茂集团、潜江制药、安琪酵母8家上市企业,“健民”、“安琪”、“红桃K”、“马应龙”、“龙牡”5个中国驰名商标,30多个湖北名牌产品。培育了一批知名生物医药产品,如B族维生素产量和出口量分别占全国的98%,生产能力居世界第一;是国内氨基酸品种最多、出口量最大的省份之一;红霉素原料药在国内市场占有率达到40%,产量居国内第一和世界第二。
3.产业集群发展初具规模,产业集聚效应日趋显著
我省先后开发建设了关南、南湖、葛店、吴家山、沌口等生物医药产业园和武汉江夏“国家中药现代化产业基地”。2007年6月,国家发改委正式批复建设“武汉国家生物产业基地”,预计到2020年,整个园区的年产值将达到1000亿元。截至2008年,全省高新技术产业开发区中把生物医药产业作为发展重点的有11个,占全部园区的78.6%.目前,以武汉国家生物产业基地为核心,辐射全省的一批产业集群已初具雏形。
4.产业发展政策环境不断优化
“十五”以来,湖北省委、省政府一直把促进生物医药产业发展摆在重要战略位置,采取了一系列重大举措,加快生物医药产业发展。先后出台了《关于加快发展高新技术产业的若干意见》、《生物技术领域“十五”专项行动计划》、《湖北省生物技术与新医药产业化推进计划》、《湖北省生物产业发展规划(2008~2015年)》等政策性文件和规划;设立了5000万元生物产业发展专项资金,启动实施了一批生物技术重大科技专项。
虽然我省在生物医药产业发展方面已具有一定的产业基础,但仍存在一些突出问题,主要表现在:一是医药产业总体规模偏小,资源整合程度还不高,龙头企业的实力也不强,截至2009年,我省没有一家生物医药企业入围全国500强企业;二是企业技术创新意识不强,研发投入严重不足,缺乏有竞争力和影响力的重量级产品;三是医药研究与生产实际需求结合度不高, 缺乏利益共享机制和平台;四是融资渠道狭窄,风险投资机制尚未形成,制约了医药产业的发展。
(二)湖北生物医药科技发展现状
1.支撑生物医药研发的种质资源优越。在植物种质资源方面,全省现有主要植物种质资源保藏单位28家,收藏各类植物种质资源3万余种、16万余份;在微生物种质资源方面,武汉大学典型培养物保藏中心是我国唯一专利微生物保藏机构;中国科学院武汉病毒所是中国普通病毒保藏中心,是我国唯一从事病毒保藏与分类鉴定的专业机构,拥有亚洲最大的病毒资源保藏库。
2.生物医药科研力量雄厚。全省拥有武汉大学、华中科技大学、中科院武汉病毒所、武汉生物制品研究所等生物医药研究开发机构上百家,集聚了4000多名生命科学研究开发人员,其中,两院院士14人,具有中高级职称的比例达到38.6%,居全国第3位。已建有国家重点实验室5个、部委开放实验室17个、生物医药领域国家临床研究基地7个、国家级重点学科15个、重点工程(技术)中心6个、省级重点实验室16个、省级重点实验室22个、省级工程技术研究中心27个、博士后科研工作站10个。已建成全国首家认证的A3实验室和正在建设生物安全P4实验室。
3.生物医药科技成果丰富。近年来,我省生物医药领域科技投入力度逐步加大,其中,2008年度全省四大重点高新技术领域共投入科技经费10865万元,生物医药产业达1865万元,占17.17%.在国家和我省强大科技投入支持下,我省生物医药领域科技成果大量涌现。全省医药领域省部级以上科技成果从1992年的113项,增加到2005年291项、2006年183项、2007年229项、2008年263项。
4.生物医药科技和产业化项目实施成效明显。以2008年为例,省部会商项目“人用重大传染病疫苗的产业化关键技术研究”已申请发明专利1件,获得发明授权1件,取得新产品、新工艺、新装置4项;大棚药业有限公司承担的“国家一类新药体外培育牛黄及制剂开发与产业化”项目新药牛黄痣清栓的研究与开发获得武汉市科技进步三等奖;永安药业承担的“牛磺酸原料药重大工艺改进项目”省重大科技专项已完成投资4764万元,新增销售收入3亿元;宜都东阳光生化制药有限公司承担的“红霉素菌种改造与过程优化控制及其产业化”专项实施以来,实现销售收入达6.2亿元。
5.生物医药研发企业和研发机构引进顺利。截至2008年底,我省已引进了上海新生源、美国沪亚、辉瑞等多家研发生产型生物企业和60多家生物研发机构,其中,辉瑞(中国)武汉研发中心作为辉瑞公司在中国中西部地区成立的第一家研发机构,将成为开展全球生物和药物开发与研究技术战略合作的先进平台,主要为全球临床药物开发项目提供包括临床I期到IV期的试验等各方面的支持,并将与我省研究机构和高校合作,开展药物创新与开发的研究合作,将对武汉乃至我省生物医药产业的发展产生巨大的推动作用。
(三)湖北生物医药企业研发绩效评价分析
科学评价湖北生物医药企业R&D能力,对于发掘生物医药R&D潜能,从根本上提升生物医药企业竞争力有重要意义。
1.评价方法和模型。
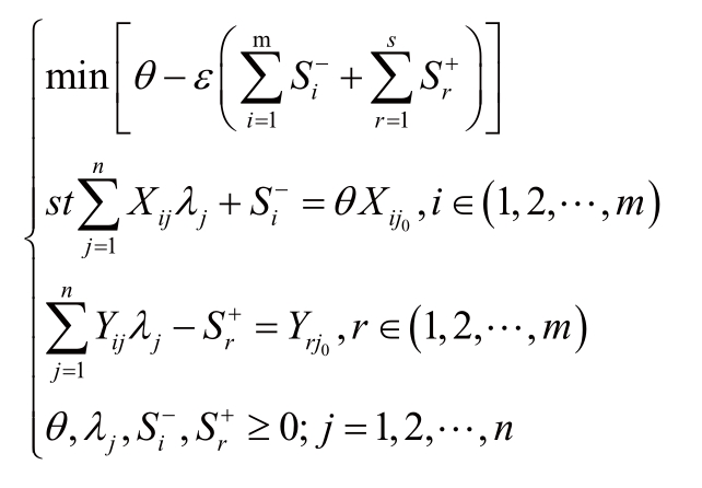
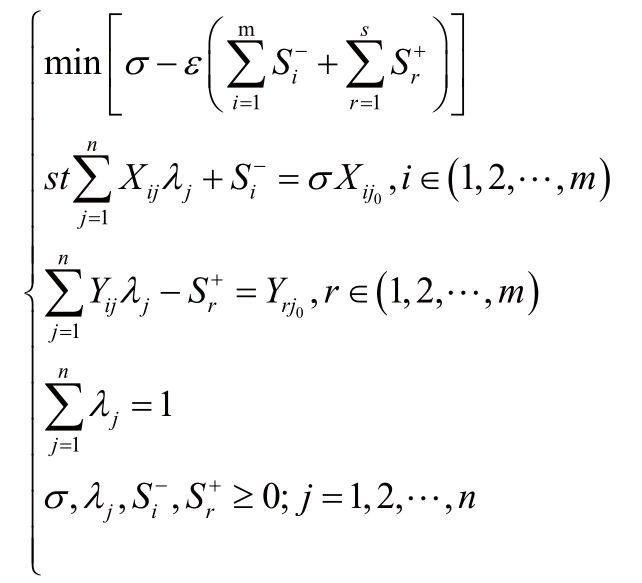
运用数据包络分析(Data Envelopment Analysis,DEA)对湖北生物医药企业R&D绩效进行评价。设有n个决策单元(Decision Making Units, DMU) , 每个决策单元有输入向量X = (X1, X2, ……Xm)T,输出向量Y = (Y1, Y2, ……Ys)T,对于任意决策单元DMUj ,基于凸性、锥性、无效性和最小性的公理假设,有生产可能集:
可得到T=
如下DEA模型(C2R):

不考虑最小性假设,可得到如下DEA 模型(C2GS2 ):

m和s分别表示输入和输出指标的个数;Xij0和Yrj0表示第j0个DMU的第i项输入和第r项输出;
和
分别为松弛变量;e为非阿基米德无穷小量,在计算中取正的无穷小,如e=10-6。C2R 模型可以核算出前面提到的综合效率(EFF),通过C2GS2模型我们可以计算出纯技术效率(PTE) ,并且通过这两个模型的比较计算出规模效率(SE)。
2.评价指标和评价结果
根据DEA 方法的适用性以及指标的多样性和指标的可获得性原则,设立了能反映R&D 投入、产出的指标(表1),输入指标:X1 R&D经费投入占总销售收入比重(%)、X2内部研究与试验发展活动经费占创新费用比重(%)、X3获取外部相关技术经费占创新费用比重(%)、X4产学研合作水平程度即与高校、科研院所合作研发企业占调查企业比重(%);输出指标:Y1申请专利的企业占全部企业的比重(%)、Y2形成国家或行业技术标准的企业占全部企业的比重(%)、Y3有产品创新企业比重(%)、Y4有工艺创新企业比重(%)。
表1 湖北生物医药企业R&D绩效评价指标样本数据

(数据来源:《全国工业企业创新抽样调查》、《湖北“千亿产业”工程创新活动调查》)
表2 基于DEA 求得的湖北生物医药企业R&D效率值

(EFF为综合效率;PTE为纯技术效率;SE为规模效率;RTS 为规模回报;EFF = TE×SE;-为规模收益不变;irs为规模收益递增。)
综合考虑C2R 模型和C2GS2 模型,选用Input-Oriented的VRS (即区分技术有效性和规模有效性)方法,应用Coelli小组开发的专用软件DEAP (Version 2.1)来计算各决策单元的效率,计算结果见表2。
3.主要结论
通过以上分析,主要结论总结如下:
一是从整体效率看, 湖北生物医药企业研发综合效率均值为0.869,处于较高水平。
二是从技术效率看,湖北5类生物医药企业中有4类为技术有效,有3类表现为规模有效,且规模效率均值小于技术效率均值,表明湖北生物医药企业研发效率低下的原因主要在于较低的规模效率。
三是处于DEA有效状态的中药企业R&D经费投入占总销售收入比重不高,而农业生物制品企业处于前列却显示DEA无效,表明R&D经费投入占总销售收入比重并不是R&D投入是否有效的决定因素。
四是纵观DEA有效企业的特点可以发现,只有R&D投入适量,结构搭配合理,在既定的投入下取得最大的产出,或在既定的产出下投入最小的企业才有可能充分利用各种投入资源,取得最高效率的产出。
三、湖北生物医药产业发展面临的形势判断
(一)世界生物医药产业发展的新趋势
一是兼并和重组成为国际医药产业竞争的新战略。全球经济一体化的加快及医药市场的迅速膨胀,国际竞争日趋激烈。为建立全球性的生产与销售网络,最大限度降低成本,提升规模和实力,集中资源,减小新药开发风险,提高医药产业的效益,也为了获取新药或是直接掌握新技术,大规模的兼并重组和国际资本市场运作已成为应对当今国际医药产业竞争的重要战略。
二是知识融合成为推动国际医药产业发展的新手段。近年来高新技术的迅猛发展与应用,给生物医药研究与生产领域带来了一系列近乎革命的变化。计算机技术、生物芯片技术、组合化学合成技术、纳米技术、高通量筛选技术等多学科交叉渗透、集成与综合大大加快了新药研制速度,新医药产品、已有药品的知识产权保护保障了规模-效益-再创新的良性循环,高新技术和知识产权等知识与生物医药产业间的融合已成为推动国际医药产业发展的重要手段。
三是战略性技术同盟成为国际生物医药开发的新模式。目前全球医药研发投入逐年递增,批准上市的新药数量却呈现递减趋势。基于开发新药越来越难,加上市场竞争和药品价格限制等不利因素,为降低研发成本,许多大型制药公司和一些小型公司结成技术联盟,将技术性强的研究开发内容分包给具有研究实力的小型公司完成,即医药合同外包研发(CRO)。近年来被批准的生物技术药物中有超过近一半是通过合作的方式研制成功的,战略性技术同盟成为国际生物医药开发的重要模式。
(二)国内外促进生物医药产业发展的新举措
1.国外促进生物医药产业发展的新举措
许多国家都把生物技术产业作为21世纪提高本国竞争力而优先发展的战略性产业,主要发达国家都把科技创新作为走出危机的根本力量,积极备战可能发生的新科技革命,布局未来发展,培育新的竞争优势和经济基础。美国计划将GDP的3%以上用于研究和开发,投入强度将超越20世纪60年代“太空竞赛”时的水平,并通过一系列配套政策,促进医学和保健体系等领域的创新和发展,力图保持领先优势和全球经济的领导地位;俄罗斯将成立由总统亲自负责的俄罗斯经济现代化和技术发展委员会,负责发展创新型经济,应着眼于医疗等五大方向,并成立相应工作组;德国提出了“生物工业2021”的计划,计划截至2011年,向生物技术产业投入资金1500万欧元;法国公布了2009年至2013年癌症防治新计划,政府将在未来几年投入7.5亿欧元,用于癌症防治、患者康复等;韩国2009年确定了《新增长动力前景及发展战略》,新选定了生物制药及医疗器械等17个领域的国家新发展动力项目以及环保技术等重点支持课题。
2.我国促进生物医药产业发展的新举措
我国政府把生物医药产业作为21世纪优先发展的战略性新兴产业,“十一五”以来不断加大对生物医药产业的政策扶持与资金投入,对生物药品的开发、生产和销售制订了包括税收优惠、延长产品保护期和提供研发资金支持等一系列扶持政策,对部分生物医药产品的项目审批采取了限制家数的措施,以确保新药的市场独占权和合理利润;组织了生物医药领域高技术产业化项目和国家重大科技专项,批准建立国家生物产业基地;2006年发布了《国民经济和社会发展第十一个五年规划纲要》,将“培育生物产业”作为专门一节明确了发展方向和重点任务,2007年研究编制了《生物产业发展“十一五”规划》,2009年国务院出台了《促进生物产业发展的若干政策》,新医药已入围国家有关部门目前正酝酿推出的《战略性新兴产业发展规划》,该规划将成为国家四万亿投资规划,上述政策和规划的逐步落实为我国生物医药产业发展创造了良好环境。
在全球和国家加速支持发展生物医药产业的背景下,各省市结合本地优势,纷纷制定出台扶持措施、建设产业基地、上马重大项目,生物医药产业领域呈现群雄逐鹿态势。北京、上海、天津、石家庄、深圳、长沙、大连、呼和浩特、济南、南京、山东淄博、云南等地生物产业基地建设已初具规模;广州市提出要投资上百亿元建设国际一流的“生物岛”;杭州提出要打造“新药港”;天津探索成立了天津市国际生物医药联合研究院,并且于2009年12月出台了28条新政策,从加大对生物医药企业研发转化、企业开拓国际市场资助、人才引进与奖励等方面的支持力度支持区内生物医药产业发展。
(三)湖北生物医药产业发展的新需求
一是生物技术引领的新科技革命正在加速形成,发展生物医药产业是我省的现实紧迫需求。20世纪下半叶以来,尽管知识呈快速增长的态势,但没有能够出现与六大革命性的科学突破相提并论的理论成就或重大发现,从某种意义上说“科学的沉寂”至今已经有60余年,而历史经验表明,全球性经济危机往往催生重大科技创新与突破,当前一些重要科技领域发生革命性突破的先兆已经初显端倪,而基因工程和细胞工程未来几十年将在重大疾病的预防和治疗上实现重大突破。我省必须及早统筹谋划生物医药科技发展战略,明确重点领域、重大科学、关键核心技术问题及其实现途径,前瞻布局,重点突破,为新科技革命的到来做好准备。
二是国内外都在加大生物医药产业的支持力度,我省要紧抓机遇,抢占产业发展的制高点。生物医药产业已被世界各国列为未来重点发展的产业加以推进,国际分工格局正快速形成,一场占领未来发展制高点的新的世界竞争正在全面展开,许多国家纷纷制定发展计划,加大对生物医药产业的政策扶持与资金投入。国内各省市争相发展生物医药产业,争先出台大的动作,我国生物医药产业领域呈现群雄逐鹿态势。我省必须要紧跟时代,加快生物医药科技创新发展,在未来的产业发展中抢占高端市场先机。
三是产业结构调整和优化升级需要发挥生物医药科技的引领和支撑功能。当前,从国家层面来讲,我国产业发展已开始实现从投资驱动向创新驱动的转型,要求依靠科技创新加大对传统产业的改造力度;从我省产业结构调整和优化升级需求来讲,迫切需要通过科技创新支撑和引领生物医药产业发展,以发展战略性新兴产业的生物医药产业带动我省产业结构调整和优化升级。
四是促进我省民生事业进步,需要大力发展生物医药产业。随着全球社会经济发展、疾病谱变化、人口老龄化和人们健康观念的转变,医疗健康消费逐年扩大,生物医药产业已成为关系国计民生的战略性新兴产业。推动当代生命科学前沿与我国传统医学优势相结合,使我省乃至我国在健康科学方面走到世界前列。发展生物医药产业不仅是惠及我省而且是惠及我国十几亿人口健康的民生工程。
(四)加快湖北生物医药产业发展的新途径
省委、省政府长期高度重视生物医药产业发展,先后出台了一系列扶持政策和措施,全省生物医药产业呈现良好发展势头,但是,我省生物医药产业发展效率还不高、产业规模还不大,必须要以科技作为带动和支撑生物医药产业发展的新途径。
一是加快企业自主创新能力建设。当前,我省生物医药产业以企业为主体的科技创新和产业化发展体系尚不健全,亟待加大创新体系建设和提高自主研发、消化、吸收能力,实现生物医药产业的突破性发展。
二是提升生物医药优势主导产品科技含量。针对我省优势和主导生物医药产品科技含量低,创新平台分散,创新集成度低,高水平科技成果少等问题,急需加大对提升整个产业素质的关键产品、重大设备、共性技术开发的支持力度。
三是加强企业科技和产品创新的投融资支撑。我省风险投资还处于起步阶段,自身的发展还很不规范,配套政策和大环境也不到位,其风险规避的本质导致现阶段风险投资的短期趋利倾向严重,资金的匮乏和不足已经成为制约我省医药科技和产品创新发展的重要因素。
四是培养和吸引高层次创新创业人才。生物医药产业是技术密集型产业,我省还存在生物医药高层次创新创业人才短缺情况,要以《湖北省引进海外高层次人才实施办法》(鄂办发〔2009〕35号)为指导,进一步营造和完善留住人才、吸引人才、人尽其才的良好环境。
四、湖北生物医药产业发展的基本思路及战略目标
(一)基本思路
全面贯彻和落实科学发展观,按照“开放创新驱动、产业集聚推动、基地辐射带动”的思路,通过加强自主研发、与国内外生物医药技术研发机构合作与交流、引进国际一流生物医药企业,瞄准世界生物医药科技和市场发展方向,突破一批具有自主知识产权的战略性生物医药技术,培育一批市场前景广阔、经济效益好的战略性生物医药产品;通过加快对生物制药、化学合成药、现代中药、生物医学工程等产业的培育,形成一批生物医药产业集群,培育一批重点骨干企业;通过加速全省生物医药资源整合和武汉国家生物产业基地建设,打造一批全省生物医药产业发展集聚园区,实现我省生物医药产业由低端向高端突破性发展。
(二)战略目标
1.总体目标
到2015年,武汉国家生物产业基地生物医药园及各高新区生物医药产业取得明显进展;全省生物医药产业产值达到900亿元,生物医药产业增加值超过350亿元;培育100家以上销售收入超过亿元的骨干企业,打造30个左右销售收入超过亿元的拳头产品,企业自主创新能力显著提升,把生物医药产业打造成为我省重要的战略性新兴产业。
2.具体目标
(1)产业总量目标:到2015年,全省生物医药产业增加值超过350亿元,年均增长20%。
(2)企业培育目标:培育1~3家销售收入过50亿元的企业,10~20家过10亿元的企业,80家左右过亿元的企业。
(3)重点产品目标:到2015年,力争有30个产品年销售额超过1亿元。
(4)企业R&D投入目标:到2015年,引导企业R&D投入达到销售收入的5%。
(5)创新能力目标:新增国家一类创新药物1~3个,累计取得国家各类药物证书达到100个以上;新建国家级企业技术中心1~3家、省级企业技术中心10~15家、国家工程(技术)研究中心1~2家、省级工程研究中心5~10家。
(6)高端人才目标:打造和引进一批结构合理、稳定的高层次创新创业领军人才队伍。
五、重点任务
(一)重点领域及优先主题
1.生物制药
加大生物疫苗、诊断试剂产业和生物药物研究与开发,着力推进生物制药产业规模不断发展壮大。
(1)生物疫苗
——关键技术:以利用现代生物技术改进传统疫苗的生产工艺为优先发展方向,大力推动新型预防性疫苗、联合疫苗、基因工程疫苗和治疗性疫苗的研制;研究生物反应器大规模培养动物细胞生产疫苗的新工艺;促进基因工程龋齿疫苗、HIV疫苗、HBV-HCV双价疫苗、血吸虫DNA疫苗等。
——产业化基地:以武汉生物制品研究所为重点依托,建设中南地区最大、全国知名的生物疫苗产业化基地。
——重点产品:麻疹腮腺炎联合减毒素活疫苗、无细胞百日咳疫苗、无细胞百白破联合疫苗、乙型脑炎减毒活疫苗、人用狂犬病疫苗、重组乙型肝炎疫苗(CHO细胞)、基因工程乙肝-丙肝双价蛋白质疫苗、婴儿和儿童用多联疫苗、流感和新发传染病疫苗、轮状病毒疫苗等。
(2)诊断试剂
——关键技术:重点开展以病毒传染病、性病和肿瘤早期检测试剂为主的免疫诊断试剂研发,发展和研制食品安全检测试剂、兽用传染病检测试剂,大力支持生物芯片技术、量子点生物荧光探针技术、新型病原体诊断试剂等的研发。
——产业化基地:以武汉兰丁、武汉生物制品研究所、红桃K集团、湖北楚冠生物药业有限公司为依托,建设新型诊断试剂产业化基地。
——重点产品:预防行动URC癌症尿液筛查试剂、肿瘤定量病理细胞学早期诊断试剂、酶联免疫系列检测试剂、乙肝检测试剂、丙肝检测试剂、艾滋病检测试剂、梅毒检测试剂等。(https://www.daowen.com)
(3)生物技术药物
——关键技术:研究和探索采用基因工程、酶工程、细胞融合技术等现代生物技术,重点支持具有自主知识产权的重组蛋白质、多肽药物、细胞生长因子、反义核酸药物、干细胞研究及产业化、DNA药物和基因工程抗体等生物技术药物研发;大力支持微波与高效沸腾联用于干燥灭菌生产牛磺酸的加工工艺和发酵法生产L-色氨酸工艺开发;重点发展心血管疾病、肿瘤、糖尿病等中老年人常见病的基因工程药物和传染病的治疗药物;支持维生素系列产品及其衍生药品研发。
——产业化基地:以武汉海特、武汉生物制品研究所、武汉华龙、宜昌人福、宜都东阳光、北科生物、天一药业等企业为依托,打造生物技术药物产业化基地。
——重点产品:注射用神经生长因子(NGF)系列产品、注射用重组人白介素-11、tPA冷冻干粉针剂、聚明胶肽代血浆注射液、生物工程药物制剂、特异性免疫球蛋白、辅酶Q10和重组人胰岛素、鲟鱼金属硫蛋白系列产品、小牛血去蛋白提取物系列产品、氨基酸类(包括衍生物)产品、胶原蛋白肽、L-乳酸、酶及酶抑制剂、多不饱和脂肪酸等。
2.化学合成药
推进具有自主知识产权的新型化学药物研发和产业化,壮大创新化学原料药及中间体产业规模,提升全省化学合成药产业竞争力。
(1)原料药及中间体
——关键技术:围绕国内外市场需求,加强重点化学原料药及中间体的开发与产业化;依托核黄素、布洛芬、红霉素等重点化学原料药及中间体,开展系列创新化学药物开发与产业化,支持特色原料药车间建设,延伸全省优势创新化学原料药及中间体产业链,提升其产业价值链,不断提高创新化学原料药及中间体产业竞争力。
——产业化基地:重点依托宜都东阳光、天茂集团、武汉远大、宜昌人福、华中药业、广济药业、永安药业、葛店人福、武穴迅达、华烁科技、三峡制药、龙翔药业、天茂实业等企业,扩大我省创新化学原料药及中间体产业规模,打造我国中部的化学原料药和中间体产业化基地。
——重点产品:红霉素原料药、核黄素系列原料药、布洛芬系列原料药、心血管类原料药、牛磺酸原料药、氟苯尼考原料药及制剂、硫酸新霉素维原料、生素B1、阿托伐他汀钙和盐酸喹那普利原料药、米非司酮原料药、酮洛芬、磷霉素、3-(1-氰乙基)二苯甲酮和3-(1-氰乙基)苯甲酸等。
(2)新型化学药及制剂
——关键技术:围绕抗感染药物、抗病毒药物、抗菌药物、非甾体抗炎药、解热镇痛药物、激素类药物、维生素、氨基酸、麻醉药物等优势门类,支持消化和仿制市场潜力大的国外非专利药,鼓励研制具有自主知识产权的新型化学药物,支持已上市大品种二次开发,并实现规模化生产;支持靶向给药系统、透皮给药系统、纳米技术制剂、脉冲释药制剂研发;积极推进长循环制剂等新型化学医药制剂的开发与产业化、头孢粉针系列和质子泵抑制剂类消化用药产业化、系列肝和胃用药开发和产业化、米格列奈钙制剂和盐酸沙格雷酯制剂研发和产业化。
——产业化基地:依托宜都东阳光、武汉普生制药、武汉启瑞、武汉爱民、宜昌人福、长江药业、华中药业、湖北科益、滨湖双鹤药业、武汉利元亨等骨干企业,建设新型化学药及制剂产业化基地,提升我省制药企业自主创新能力。
——重点产品:氟非尼酮(一类新药)、盐酸克林霉素冻干粉针、头孢粉针系列和质子泵抑制剂类消化用药、七叶皂苷钠系列冻干针、冻干粉及乳剂、生物工程药物制剂、磷酸奥司他韦胶囊、维生素B1制剂、米格列奈钙制剂、盐酸沙格雷酯制剂、醋酸甲泼尼龙注射液、注射用熊果酸纳米脂质体、糖皮激素类药物、纳米医药、米非司酮系列制剂、利巴韦林、阿昔洛韦和更昔洛韦及其系列制剂等。
3.现代中药
大力推进中药材种植业科技发展,积极开展重大中药创新成果开发与产业化,培育一批具有较强竞争力的特色中药产品,实现我省现代中药与天然药物产业跨越式发展。
(1)中药材种植
——关键技术:开展中药材种质资源保护、规范化种植等技术与标准研究,大力推进黄连、茯苓、玄参、湖北贝母等中药材GAP(生产质量管理规范)种植基地建设,建设一批通过国家认证的GAP种植基地,,建立中药资源的种质资源库、种质资源圃、原生地保护区和中药材质量评价公共平台,提高全省中药材种植业科技含量,促进产业规模不断扩大。
——产业化基地:以国家中药科技现代化(湖北)基地二期建设为契机,加快湖北瑞华制药中药材生产加工基地、襄樊市中药材种植基地、宜昌坤艳工贸杜仲种植基地、厚朴生态经济性中药材种植基地、利川黄连和罗田茯苓中药材GAP(生产质量管理规范)种植基地等基地建设,重点支持宜都东阳光、湖北瑞华、湖北圣峰药业等企业发展。
——重点产品:黄连、茯苓、天麻、党参、玄参、紫油厚朴、杜仲、黄柏、湖北贝母、人工培育冬虫夏草、人工培植硒虫草等。
(2)中药创制
——关键技术:以安全有效、使用方便、质量可控为方向,支持对慢性病、老年病及疑难病等具有疗效确切、毒副作用小、特色鲜明的中药新药及新剂型的开发和产业化;积极支持采用现代生物技术、先进制药工艺和制剂技术,对名优中成药进行二次开发;加强高效粉碎、提取、分离等中药制药共性、关键技术的开发与推广应用,整体提升中药产业的技术水平和竞争力;发挥我省中药材资源优势,积极开发中药饮片及植物提取物,促进优势中药材资源开发的规范化、集约化发展;实施大品种战略,大力推进重大中药创新成果的系列化开发与产业化。
——产业化基地:依托武汉健民、李时珍药业、马应龙药业、武汉联合药业、武汉华光、襄樊隆中药业等企业,打造我省中药创制产业化基地。
——重点产品:痔痛安系列产品、马其通系列产品、梨清膏、小儿柴桂退热颗粒、复方紫参颗粒、中间体及中成药口服液、体外培育牛黄及制剂、胃舒口服液、遗尿宁颗粒、开郁宁、注射用羟基喜树碱、喜素片、滴丸、中药纳米冻干粉针、痣痛安系列产品、马其通系列产品等。
4.生物医学工程
积极推进具有自主知识产权的新型生物医学工程技术产品的研发与产业化,使我省生物医学工程产业在全国占有一席之地。
(1)医疗仪器设备及器械
——关键技术:支持医疗激光仪器、激光美容设备、肿瘤早期诊断系统、医用超声波、医用监护仪医用X光机、呼吸机等医学设备研发,重点研制面向家庭的智能化、小型化疾病监测、治疗设备;开展近红外脑功能成像、肿瘤早期诊断系统等医学影像设备以及医学影像归档和传输系统研究开发。
——产业化基地:依托武汉兰丁、武汉半边天、武汉凌云、楚天集团、武汉一海、宜昌人福、武汉中旗电子等企业,建设我省医疗设备及器械产业化基地。
——重点产品:半导体医疗微创激光医疗器械、自凝刀治疗仪、新型数字化影像诊断系统、全自动细胞DNA自动检测分析仪、妇科射频治疗仪、麻醉科医疗器械、肝硬化检测仪、数字式十二导心电图机、光电半导体医疗激光器等。
(2)医用植入器械、人工器官及组织工程化产品
——关键技术:以骨植入材料为重点,积极推进具有自主知识产权的系列人工骨、骨内固定件及系列人工髋关节、修复神经缺损用的人工导管等的开发与产业化;跟踪医学工程技术领域的发展方向,开展组织工程产业化开发,填补我省在组织工程骨、肌腱、皮肤、角膜等组织工程产品领域的空白;开展具有抑制癌细胞作用的无机纳米粒子的研究及应用、复合型人工神经导管的研究及开发。
——产业化基地:以武汉华威生物材料工程有限公司为依托,建设生物医用材料产业化基地。
——重点产品:生物陶瓷听小骨置换假体、骨填充用多孔生物陶瓷、生物陶瓷中耳通气引流管、可吸收接骨螺钉、生物可吸收高分子复合材料骨内固定件、复合型磷酸钙人工骨、生物陶瓷与金属复合型人工髋关节、梯度涂层的钛合金牙种植体等。
(3)新型医用高端耗材
——关键技术:重点开展医用原材料的改性技术、合成技术、高端设计技术等关键技术的研究与开发,推动医药包装和生物试剂等卫生材料技术开发与产业化,进一步完善全省高端卫生材料创新链和产业链。
——产业化基地:依托枝江奥美高、华强科技等企业,建设医用高端耗材产业化基地。
——重点产品:新医用敷料、高端医用无纺布、绷敷材料、丁基胶塞、空气过滤器和防护口罩等防护器材、药用聚乙烯膜等。
5.生物医药研发外包
(1)发展重点
发挥我省生物医药科研优势,大力培育生物医药研发外包服务业,引领全省生物医药产业快速发展,把湖北打造成为中部地区最大的生物医药研发服务外包聚集地。
(2)产业化基地
依托武汉生物技术研究院、辉瑞(中国)武汉研发中心、华中科技大学、武汉大学等企事业单位,积极开展药物产品开发、临床前实验及临床实验服务等生物医药研发外包服务,承接国际生物医药产品的研发外包,加快融入全球生物医药产业链的步伐,逐步形成生物医药研发外包服务集群,使其成为全省生物医药科技和产业发展的新增长点。
(二)科技创新平台建设
以搭建社会化、网络化、专业化、市场化的公共服务条件体系为目标,加强公共科技服务平台建设,重点支持建设全省生物医药产业公共创新平台、成果转化服务平台、专业服务平台和中介服务平台,形成我省生物医药产业技术创新服务体系和产业发展支撑体系。“十二五”期间重点支持建设:
——中科院武汉病毒所国家生物安全实验室;
——武汉大学生殖与发育国家重点实验室;
——湖北出入境检验检疫局检疫检测公共服务技术平台;
——武汉生物技术研究院新药孵化公共服务平台;
——中国科学院武汉文献情报中心生命科学与生物产业信息服务平台;
——生物医药产业科技信息共享服务公共平台
——湖北省预防医学科学院生物产业基地生物产品公共检测评价中心;
——华中农业大学产业基地试验动物中心;
——湖北省农药生物农药工程研究中心;
——武汉国家生物产业基地公共实验中心。
(三)产业化基地布局
根据发展基础和条件,全省生物医药产业发展按照中心区、拓展区两个层次进行规划布局。其中:中心区以武汉国家生物产业基地为核心,辐射武汉城市圈;拓展区包括以宜昌为中心辐射宜(昌)-荆(州)-荆(门)及恩施州的鄂西南地区,以襄樊为中心的襄(樊)-十(堰)-随(州)及神农架林区的鄂西北地区。
一是加快武汉国家生物产业基地建设,打造生物医药产业研发、生产、聚集中心。充分依托武汉生物产业基地生物医药技术人才、技术优势和丰富的产业资源,加快关南医药基地、九峰创新基地、九龙产业基地建设步伐,加速武汉生物技术研究院建设,重点支持建设相关公共服务设施和条件平台,聚集一批从事新药开发服务和生物技术产品贸易等机构和企业,着力打造生物制药、生物医药研发外包服务等一批生物医药产业集群,形成全省生物医药产业发展研发、生产、流通聚集中心核心区。同时,加快庙山产业园、吴家山产业园、沌口产业园、葛店产业园等生物医药产业园建设步伐,着力打造生物制药、化学药制剂、现代中药等一批生物医药产业集群。
二是整合资源,集聚发展,着力建设一批生物医药特色产业园区。宜昌市重点围绕创新化学制药、生物医学工程、现代中药三大领域,依托宜都东阳光、安琪、人福、三峡药业等骨干企业,大力发展大环内酯类抗生素红霉素等原料药及新型制剂、麻醉科用药及非麻醉普通用药、硫酸新霉素及氨基酸等产品。襄樊市重点扶持发展维生素、解热镇痛药物、甾体类药物、精神类药物、抗生素等化学合成药和现代中药产业,加快建设襄樊高新区生物医药工业园,尽快形成特色化学合成药和现代中药产业集群。黄冈市重点发展维生素类原料药及制剂、茯苓、天麻、丹参等地道药材生产及延伸产品开发,建设大别山地道药材规范化种植基地,打造中药材种植、化学原料药及中间体、中药制造等产业集群。
三是发挥地方特色,依托骨干企业,加快产业发展。黄石市重点培育新型激素中间体、新型心血管药、新型抗癌药物,咸宁市重点发展现代中药、生物技术药物和医疗器械等,孝感市重点发展中药制剂、病理组织检测诊疗器械,潜江、仙桃、天门等市重点发展眼科用药等化学原料药及外用药,荆门市做大做强化学合成药及制剂,提升解热镇痛原料药等优势特色,荆州市重点发展特色生物制药、化学合成药和现代中药,十堰(武当山)-神农架重点建设黄姜、麦冬、黄连、党参等地道药材GAP基地,发展中药材饮片、标准提取物及原料药中间体等深加工产品,随州市重点发展现代中药产业。
(四)重大科技专项
“十二五”期间,重点围绕我省生物医药产业特色和优势领域,集成现有资源,策划凝练一批重大科技专项,提升我省生物医药自主创新能力,引领和支撑产业在未来五到十年获得突破性发展。
专题一 新型疫苗和新型诊断与检测试剂研发与产业化专项
——新型疫苗方面
预期目标:研究生物反应器大规模培养动物细胞生产疫苗的新工艺;加强多联疫苗制剂研发;重点加强艾滋病、乙型肝炎、麻疹、乙型脑炎、腮腺炎、血吸虫、流感等传染病新型疫苗以及重大传染病疫苗的应急快速规模化制备技术等方面的研发。
选择依据:我省武汉生物制品研究所是国家医学微生物学、免疫学、细胞工程、基因工程的主要研究机构和生产企业,华中科技大学、武汉大学、中国科学院武汉病毒研究所也有较强疫苗研发实力,依托上述单位开展新型疫苗研制具有较好基础。
——新型诊断与检测试剂方面
预期目标:开展以病毒传染病、性病和肿瘤早期检测试剂为主的免疫诊断试剂研发;发展食品安全检测试剂;推动生物芯片技术、量子点生物荧光探针技术、新型病原体诊断试剂等研发。
选择依据:全球的诊断试剂拥有200多亿美元的市场规模,并保持5%左右的年增长速度,专家预计未来我国的诊断试剂市场年增长速度可以达到20%左右,随着人们生活水平的提高和新医改的持续推进及新型突发性疾病的增多,我国诊断试剂的市场规模必然会进一步扩大。而我省临床诊断试剂类产品的开发与生产水平较低,省内所使用的诊断试剂国外和省外的产品,急需要加强我省具有自主知识产权的诊断试剂的开发。
专题二 新型化学药研发与产业化专项
预期目标:开展合成抗病毒新药的研发,重点加强抗肝炎病毒、抗疱疹病毒和抗流感病毒等领域化学药物的研发;开展抗菌药物研发。
选择依据:我省抗病毒药物的研发一直处于全国先进行列,有湖北省医药工业研究院、华中科技大学、武汉普生制药等科研院所和企业从事抗病毒药物研究开发;在抗菌药物方面,潜江制药和武汉远大的抗菌眼用药全国排名靠前。我省具有发展抗病毒和抗菌药物研发有较好基础。
专题三 现代中药种植与创制专项
预期目标:研究中药共性关键是用技术;加强优势和特色中药新品种及新剂型的研发;中药标准化研究与开发。
选择依据:我省天然中药材资源丰富,并有健民、马应龙、人福等大型骨干现代中药研发生产企业,但是多数品种档次及技术含量较低,亟待提升中药研发和生产技术。
专题四 生物医药产业科技信息共享服务公共平台建设专项
预期目标:建设一个由疾病、方剂、中药、中药化合物和受体等多个数据库组成的综合性的中医药数据库;对生物医药领域信息资源进行调研,实现资源导航,指引用户连接到相关的信息系统;实现生物医药信息的收集和发布;通过本平台和其他途径的中介,利用中药创新研究中心的专家为基于中医药领域的生物医药科学研究提供咨询服务。
选择依据:我省科技信息共享服务体系已初步建立,但是与上海、北京等先进地区相比,生物医药产业科技信息服务能力还十分薄弱,亟待建立和完善专业化的生物医药产业科技信息共享服务平台。湖北省科技信息研究院早在2001年受联合国亚太技术转移中心(UNAPCTT)和国家科技部委托建设了“亚太传统医药网(APTMNET)”网络平台的主站(英文)和中国站,经过近10年的发展和积累,形成了2个基于网络的技术转移服务网络,系统全年安全、稳定运行;建设了10大特色资源数据库等,上网信息100G,已在生物医药产业科技信息服务方面夯实了基础,并取得明显成效,具有承担建设湖北省生物医药产业科技信息共享服务平台的能力。
六、保障措施
(一)支持企业成为自主创新的主体
鼓励高校、科研院所积极参加以企业为主体的技术创新活动,逐步提升企业自主创新能力;落实各项税收优惠和扶持政策,促进企业提高R&D投入水平;发挥政府采购政策扶持功能,优先采购已认定列入自主创新目录的生物医药产品,并优先列入医疗保险目录;鼓励企业设立研发机构,支持工程化条件好、系统集成能力强的省级企业工程(技术)研究中心升级为国家级企业工程(技术)研究中心,创建省级、国家级“企业技术中心”,逐步使企业成长为产品和工艺技术创新的主体。
(二)促进产学研合作
围绕我省生物医药优势领域、关键共性技术,以重点和优势企业为龙头,通过组织产学研项目洽谈会、建立产业联盟等多种方式推动产学研合作;支持院校、科研机构科研人员深入企业开展技术咨询和技术服务工作,大力发展研发外包;支持企业与高校和科研院所以产学研合作模式建立“校企共建研发平台”。
(三)鼓励成果产业化
对企业自主研发、联合研发或购买方式获得国家一类、二类新药证书及国家三类医疗器械证书或其他方面同等水平的重大成果,并在我省实施产业化的,除优先支持争取国家专项资金外,省科技项目适当予以倾斜;高校、科研院所等机构因从事生物医药技术成果转化、技术服务等获得的净收入或股权,可取其中的70%奖励给成果完成人及课题组成员;职务技术成果在1年内产权单位未实施转化的,在不变更成果属性的前提下,成果完成人可创办企业自行转化或以技术入股在鄂进行产业化转化,可享受净收入或股权的70%。
(四)加强公共服务平台建设
以武汉生物技术研究院、辉瑞(中国)武汉研发中心等研发机构为依托,为我省生物医药产业发展提供技术支撑。支持各类与生物产业相关的资金重点支持一批生物产业公共服务平台建设,按规定的资金用途在能力建设、设备购置、配套设施建设等方面,由省财政给予一定额度的支持。加快推进已承接国家科技发展各项生物医药平台建设任务,密切跟踪最新进展情况,积极争取国家更多的国家生物医药领域的平台建设任务。
(五)加快产业投融资发展
大力发展创业风险投资,支持符合条件的生物医药企业申报国家预算内创业风险投资项目;充分发挥省创业投资基金引导作用,鼓励国内外的各类创业风险投资公司投资省内的生物企业,重点支持处于种子期、成长期的中小生物医药企业发展;通过优先推荐上市发行股票、发挥湖北省光谷产权联合交易所的平台作用等方式,探索并建立创业风险投资的退出机制;加快生物医药产业融资平台和担保体系建设,落实国家发改委与国家开发银行关于共同推动生物产业融资工作的意见,通过探索建立融资担保平台补偿机制等方式,鼓励中小企业融资担保平台、科技融资担保平台等其他融资担保平台共同参与,引导社会资金支持生物产业发展。
(六)积极引进高端人才
鼓励各地各用人单位以岗位聘用、项目聘用、任务聘用、项目合作等多种方式,吸引国内外高层次生物医药技术和管理人才来我省从事生物医药研发和创办产业化企业;从海外引进的高层次生物人才和团队,按照《湖北省引进海外高层次人才实施办法》给予奖励,并在科研项目、创办企业、安家落户等方面的资金支持;对在生物领域有突出业绩和做出重要贡献的海外人才,优先推荐“湖北省创新杰出人才奖”;对为我省生物产业发展做出突出贡献的外籍人士,优先推荐申报省政府授予的外国专家“编钟奖”。
附:《湖北省生物医药产业发展科技战略研究》相关指标说明
一、战略目标指标体系及测算依据
在生物医药产业发展方面研究提出了产业增加值、企业培育、企业R&D投入、产品培育和创新能力建设等方面的目标。
1.产业总量目标方面:据省统计局提供的资料,生物医药产业2008年实现增加值82.8亿元,2009年预计实现98.7亿元,预计“十一五”年均增长18%. 考虑到未来六年引进国外先进企业、开展医药研发生产外包服务、推进已获批准的40个新药品品种的产业化进程等新的增长点,建议“十二五”增长速度按年均增长20%考虑,据此测算到2015年增加值为300亿元。
2.企业培育目标方面:根据省统计局提供数据,截止2008年,我省共有产值过10亿元生物医药企业2家(宜都东阳光、人福高科),过5亿元企业6家(武汉生物制品研究所等),过1亿元企业55家(武汉普生制药等)。根据我省上述现有骨干企业的现有基础和未来发展预期,提出培育1~3家销售过50亿元的企业(东阳光、人福高科),8~10家过10亿元的企业(现有过5~10亿元企业6家、4~5亿元企业4家),80家左右过1亿元的企业(现有55家过1亿元企业)以及30个年销售额超过1亿元的产品。
3.创新能力建设目标方面:我省生物医药产业创新能力相对较强,目前,全省共有国家重点实验室5个、部委开放实验室17个、生物医药领域国家临床研究基地7个、国家级重点学科15个、重点工程(技术)中心6个、省级重点实验室16个、省级重点实验室22个、省级工程技术研究中心27个、博士后科研工作站10个、全国首家认证的A3实验室1个、正在建设生物安全P4实验室1个。基于以上现有基础,提出围绕我省优势特色领域,新增国家一类创新药物1~3个,累计取得国家各类药物证书达到100个以上;新建国家级企业技术中心1~3家、省级企业技术中心10~15家、国家工程(技术)研究中心1~2家、省级工程研究中心5~10家;新建10个科技创新平台。我们认为,这些目标经过未来5年的努力是可以实现的。
二、重点领域及优先主题选择依据
重点领域和优先主题的选择主要参考了国务院办公厅发布《促进生物产业加快发展的若干政策》,以及我省出台的《湖北省生物技术与新医药产业化推进计划》、《湖北省生物产业发展规划(2008-2015)》、《湖北省百项重点高新技术产品推广计划》等政策性文件和规划,还研究比较了《兰州生物医药产业调整和振兴规划实施方案》、《天津开发区生物医药产业发展规划》、《成都市生物医药产业发展规划(2009-2012)》、《湖南省生物医药产业振兴实施规划(2009-2011年)》、《上海市生物医药产业发展行动计划(2009-2012年)》、《深圳生物产业振兴发展规划(2009-2012年)》等区域性规划。从总体上来说,重点领域及优先主题的选择结合了当前全国发展形势和我省生物医药产业发展重点需求和重点项目。根据我省生物医药产业发展具有相当基础、优势和特色领域,拟重点围绕生物制药、化学合成药、现代中药、生物医学工程、公共服务平台建设等领域,通过关键和共性技术研发,培育一批骨干企业和优势产品,进一步壮大生物医药产业的发展规模。在生物制药方面,着力推进生物疫苗、诊断试剂及生物技术药物的开发和产业化;在化学合成药方面,推进具有自主知识产权的新型化学药物研发和产业化,壮大创新化学原料药及中间体产业规模;在现代中药方面,大力推进中药材种植业发展,积极开展重大中药创新成果开发与产业化,培育一批具有较强竞争力的特色中药产品;在生物医药工程方面,重点推进医疗仪器设备及器械、医用植入器械、人工器官及组织组织化产品开发和产业化;在公共服务平台建设方面,以搭建社会化、网络化、专业化、市场化的公共服务条件体系为目标,加强公共服务平台建设。
三、重大专项选择依据
结合我省生物医药产业中生物制药、化学合成药、现代中药三大特色优势领域和我省生物医药产业科技信息共享服务的现实需求,特建议实施新型疫苗和新型诊断与检测试剂研发与产业化、新型化学药研发与产业化、现代中药种植与创制、生物医药产业科技信息共享服务公共平台建设四大科技专项。
专题一 新型疫苗和新型诊断与检测试剂研发与产业化专项
新型疫苗方面:我省武汉生物制品研究所是国家医学微生物学、免疫学、细胞工程、基因工程的主要研究机构和生产企业,华中科技大学、武汉大学、中国科学院武汉病毒研究所也有较强疫苗研发实力,依托上述单位开展新型疫苗研制具有较好基础。专项建设预期目标是研究生物反应器大规模培养动物细胞生产疫苗的新工艺;加强多联疫苗制剂研发;重点加强艾滋病、乙型肝炎、麻疹、乙型脑炎、腮腺炎、血吸虫、流感等传染病新型疫苗以及重大传染病疫苗的应急快速规模化制备技术等方面的研发。
新型诊断与检测试剂方面:全球的诊断试剂拥有200多亿美元的市场规模,并保持5%左右的年增长速度,专家预计未来我国的诊断试剂市场年增长速度可以达到20%左右,随着人们生活水平的提高和新医改的持续推进及新型突发性疾病的增多,我国诊断试剂的市场规模必然会进一步扩大。而我省临床诊断试剂类产品的开发与生产水平较低,省内所使用的诊断试剂国外和省外的产品,急需要加强我省具有自主知识产权的诊断试剂的开发。专项建设预期目标是开展以病毒传染病、性病和肿瘤早期检测试剂为主的免疫诊断试剂研发;发展食品安全检测试剂;推动生物芯片技术、量子点生物荧光探针技术、新型病原体诊断试剂等研发。
专题二 新型化学药研发与产业化专项
我省抗病毒药物的研发一直处于全国先进行列,有湖北省医药工业研究院、华中科技大学、武汉普生制药等科研院所和企业从事抗病毒药物研究开发;在抗菌药物方面,潜江制药和武汉远大的抗菌眼用药全国排名靠前。我省具有发展抗病毒和抗菌药物研发有较好基础。专项建设预期目标是开展合成抗病毒新药的研发,重点加强抗肝炎病毒、抗疱疹病毒和抗流感病毒等领域化学药物的研发;开展抗菌药物研发。
专题三 现代中药种植与创制专项
我省天然中药材资源丰富,并有健民、马应龙、人福等大型骨干现代中药研发生产企业,但是多数品种档次及技术含量较低,亟待提升中药研发和生产技术。专项建设预期目标是研究中药共性关键是用技术;加强优势和特色中药新品种及新剂型的研发;中药标准化种植研究与开发。
专题四 生物医药产业科技信息共享服务公共平台建设专项
我省科技信息共享服务体系已初步建立,但是与上海、北京等先进地区相比,生物医药产业科技信息服务能力还十分薄弱,亟待建立和完善专业化的生物医药产业科技信息共享服务平台。湖北省科技信息研究院早在2001年受联合国亚太技术转移中心(UNAPCTT)和国家科技部委托建设了“亚太传统医药网(APTMNET)”网络平台的主站(英文)和中国站,经过近10年的发展和积累,形成了2个基于网络的技术转移服务网络,系统全年安全、稳定运行;建设了10大特色资源数据库等,上网信息100G,已在生物医药产业科技信息服务方面打下了夯实的基础,并取得了明显的成效,具有承担建设湖北省生物医药产业科技信息共享服务平台的能力。专项建设预期目标是建设一个由疾病、方剂、中药、中药化合物和受体等多个数据库组成的综合性的中医药数据库;对生物医药领域信息资源进行调研,实现资源导航,指引用户连接到相关的信息系统;实现生物医药信息的收集和发布;通过本平台和其他途径的中介,利用中药创新研究中心的专家为基于中医药领域的生物医药科学研究提供咨询服务。