静电学与静磁学
第二节 静电学与静磁学
“电”(electricity)这一词在西方是从希腊文ηλεκτρου(琥珀)一词转意得来,在中国则是从雷闪现象中引出来的。自从18世纪中叶以来,电的研究逐渐蓬勃开展。它的每项重大发现都引起广泛的实用研究,从而促进科学技术的飞速发展。至今,无论人类生活、科学技术活动以及物质生产活动都离不开电。电的研究涉及到广泛的领域,随着科学技术的发展,某些带有专门知识的研究内容逐渐独立,形成专门的学科,如电子学、电工学等。电学本身限于电现象中较为基本的内容:电荷相互作用的规律,电路的导电规律,以及物质中的电效应。电学是电磁学的一个分支,它是物理学中颇具重要意义的基础学科。
一、静电学
静电学是研究静止电荷产生电场及电场对电荷产生作用力的规律。电荷只有两种,称为正电和负电。同种电荷相互排斥,异种电荷相互吸引。电荷遵从电荷守恒定律。电荷可以从一个物体转移到另一个物体,任何物理过程中电荷的代数和保持不变。所谓带电,不过是正负电荷的分离或转移;所谓电荷消失,不过是正负电荷的中和。
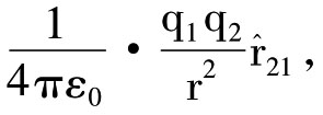
静止电荷之间相互作用力符合库仑定律:在真空中两个静止点电荷q1和q2之间作用力的大小与q1和q2的乘积成正比,与它们之间的距离r的二次方成反比;作用力的方向沿着它们之间的联线,同号电荷相斥,异号电荷相吸。用公式表示,q1对q2的作用力
为
=
·
,q2对q1的作用力
为
=
其中
、q、r的单位分别为牛顿、库仑、,米,
和
分别为由q1指向q2和由q2指向q1的单位矢量,ε0为普适常数,叫做真空介电常数,其值为ε0=8.854187818×10-12F·m-1。
电荷之间相互作用力是通过电荷产生的电场相互作用的。电荷产生的电场用电场强度E(简称场强)来描述。空间某一点的电场强度用正的单位试探电荷在该点所受的电场力来定义。电场强度遵从场强叠加原理:任意带电体在空间某点所产生的场强等于各点电荷单独存在时在该点产生的场强的矢量和。在带电体电荷分布已知情况下,根据库仑定律和场强叠加原理,原则上可以确定任意带电体所产生的场强分布。带电体产生的场强分布可用假想的电力线形象地表示(如下图)。

根据库仑定律和场强叠加原理还可得到静电场基本性质的两个定理:
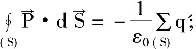
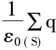
①高斯定理:静电场中电场强度沿任意闭合曲面的积分(称为电通量)等于该曲面包围的所有电荷电量代数和除以真空介电常数,与闭合面外的电荷无关,即
·d
=
。其物理意义表示静电场的电力线始于正电荷,终于负电荷,亦即静电场是有源场。
②环量定理:静电场中场强沿任意闭合曲线的积分(称为环量)恒等于零。
·d
=0电场中环量恒等于零表明,静电场中沿任意闭合路径移动电荷,电场所做的功都为零,因此静电场是非旋场,可以引入电位来描述:静电场中两点n和b的电位差Ua-Ub等于把单位正电荷由a点沿任意路径移动到b点,电场力所做的功Ua-Ub=
·d
,或者,电场强度等于电位梯度的负值
=-▽U。上述两式把描述静电场分布的场强和电位联系起来。带电体产生的电位分布可用等位面形象地表示,静电场中电力线总是与等位面正交。
点电荷q在电场中所受的作用力为
=q
;点电荷在静电场中由a点移动到b点,电场力所做的功为Aab= q(Ua-Ub)。根据这两个公式,可以计算任意带电体在电场中受到的作用力和移动时电场力所做的功,从而可以得知带电体在电场中的运动。
通常的物质,按其导电性能的不同可分两种极端情况:导体和绝缘体。导体体内存在可运动的自由电荷;绝缘体又称为电介质,体内只有束缚电荷。
在电场的作用下,导体内的自由电荷将产生移动。当导体的成分和温度均匀时,达到静电平衡的条件是导体内部的电场强度处处等于零。根据这一条件,可导出导体静电平衡的若干性质:
①导体是等位体,导体表面是等位面;
②导体内部不带电荷,电荷只能分布在导体表面;
③导体外表面附近的场强处处与导体表面垂直,场强的大小与导体表面的电荷面密度的关系为
(https://www.daowen.com)
④当空腔导体内部没有其他带电体时,导体空腔内表面处处没有电荷,电荷只能分布在外表面,空腔内部场强为零,空腔内部电位处处相等且等于导体的电位;
⑤当导体空腔内部有其他带电体时,内表面静电感应的电荷与腔内电荷代数和为零;
⑥接地的导体空腔把空间分成内外两个区域,在每个区域内电场的分布仅由该区域内的电荷分布决定,两个区域在电性质上互不干扰,接地导体空腔的这一性质称为静电屏蔽;
⑦两个导体板靠得较近时,若一导体板上带电量为Q,则另一导体板上静电感应的电量为-Q,且两导体板之间的电位差与电量Q成正比,比例系数C=Q/(U1-U2),反映了这两个导体组成系统的可容纳电荷的性质,称为电容,这个导体系统称为电容器。
在电场中,电介质被极化。电介质极化的状况用极化强度矢量P来描述。极化强度用单位体积内分子偶极矩的矢量和来定义。电介质极化后,介质表面和体内出现束缚的极化电荷。极化电荷与介质的极化强度有如下两种关系:
①沿任意闭合曲面极化强度矢量的面积分等于闭合面所包围的极化电荷q'的负值,
②由此可推知,介质表面的极化电荷面密度σ'等于极化强度矢量在介质表面的法线分量,σ'=Pn=Pcosθ。
这样,放入电场中的电介质将改变原来的电场分布。导体系中间填充电介质时电容值将改变。电介质存在时电场的高斯定理化为
。式中q0为闭合面内的自由电荷,
=ε0
+
D叫做电位移。
与
之间的关系由电介质的性质决定,这一关系通常称为物质的介质方程。介质存在时电场环量定理仍成立,即介质存在时的静电场仍为非旋场,可以引入电位概念。在电介质界面上电场满足的边值关系为:当界面无自由电荷时,界面上电位移的法线分量连续,电场强度的切线分量连续,即D1n=D2n,E1t=E2t。
二、静磁学
静磁学是研究电流稳恒时产生磁场以及磁场对电流作用力的规律。
电荷的定向流动形成电流。电流之间存在磁的相互作用,这种磁相互作用是通过磁场传递的,即电流在其周围的空间产生磁场,磁场对放置其中的电流施以作用力。电流产生的磁场用磁感应强度
描述。真空中稳恒电流产生的磁场遵从毕奥-萨伐尔定律,即磁感应强度
式中Id
是强度为I的电流元,r为电流元到场的距离,
为电流元指向场点的矢位,积分沿整个电流回路,μ0为真空磁导率,其值为μ0=4π×10-7H·m-1。
根据毕奥-萨伐尔定律,可计算任意已知电流分布产生的磁感应强度。此外,根据毕奥萨伐尔定律还可得到稳恒磁场基本性质的两个定理:①磁高斯定理:稳恒磁场中磁感应强度沿任意闭合曲面的积分(称为磁通量)恒等于零
·d
=0,它反映磁力线总是闭合曲线。
②安培环路定理:稳恒磁场中磁感应强度沿任意闭合曲线的积分等于穿过以闭合曲线为周界的任意曲面的电流强度代数和的μ0倍,即
·d
=μ0
I,这表明磁场不是势场,是有旋场。
当磁场中存在磁介质时,磁介质被磁化,产生磁化电流。介质磁化的状况用磁化强度矢量
来描述。磁化强度用单位体积内分子磁矩的矢量和来定义。磁化强度沿任意闭合曲线的积分等于穿过闭合曲线的磁化电流强度的代数和,
·d
=
I'。利用这一结果可将磁介质存在时的安培环路定理化为
·d
=
I0。式中I0为传导电流强度
=
-
叫做磁场强度。
与
的关系由磁介质的性质决定,这种关系是关于磁的介质方程。在磁介质的界面上,磁场满足的边值关系为:当界面不存在面传导电流时,在界面上磁感应强度的法线分量连续,磁场强度的切线分量连续,即B1n=B2n,H1t=H2t。
电流元
在磁场中受到的作用力由安培公式表示:
=
×
,式中
为电流元所在处的磁感应强度。整个载流导线所受的磁力则为该式对全部电流导线的积分。一个速度为。带电量为q的运动的点电荷在磁场中受到的作用力称为洛伦兹力,为
。运动电荷所受的洛伦兹力总是与速度方向垂直,因此洛伦兹力列运动电荷所做的功恒为零。当同时存在电场和磁场时,
运动电荷所受的洛伦兹力公式为,它决定了带电粒子在电磁场中的运动。