电磁感应定律
第三节 电磁感应定律
一、电磁感应定律的建立
1.法拉第确立电磁感应定律
奥斯特的发现和日新月异的电流磁效应的研究成果极大地激励了英国学术界。1821年,英国《哲学年鉴》主编邀请著名化学家戴维撰写一篇文章,综合评述奥斯特电流磁效应发现以来的电磁学发展概况。戴维将这一工作交给了助手法拉第,法拉第在收集材料过程中对电磁学研究产生了兴趣和热情,从此法拉第将研究工作转向了电磁学。
(1)法拉第发明电磁旋转器

1821年4月,英国大化学家、物理学家沃拉斯顿设计了一个实验:将可自由转动的磁棒置于通电导线的一侧,使之产生旋转运动。几次实验都遭到了失败,沃拉斯顿灰心了。人们都认为,沃拉斯顿做不成的实验,别人是做不成的。但法拉第却认为,沃拉斯顿的这种设计是合理的,既然小磁针在电流作用下有环绕电流运动的趋向,那么沃拉斯顿的设想就有实现的可能。于是,法拉第设计了一台电磁旋转器(如图),其中一部分是实验磁体绕电流旋转,另一部分是通电导体绕磁体旋转。
法拉第在《电学的实验研究》中有如下描述:“这个装置有一旋转器个长宽约3×6英寸的水平台,台上装有6英寸的铜支架,其中有导线通过,一端的导线是固定的,在这一方有一个装有水银的玻璃杯,杯中装有可自由转动的磁极,杯底铜柱连接电源,另一端导体是可以自由转动的,并浸入一个稍浅的水银杯中,杯中有一固定磁极,杯底也有导线与水银连通着。”
法拉第使用的电源是10组极板的伽伐尼电池。这个装置比较小,但很灵敏。接通电源后,左端的自由磁极和右端的自由导体同时产生运动,其转动方向由电流方向和磁极极性决定,遵守安培定则。电磁旋转器是电动机的实验室雏型,它对人类利用电能具有划时代的意义。法拉第关于电磁旋转器实验的文章被刊登在1821年9月3日英国的《科学季刊》上。这次成功,充分显示了法拉第无与伦比的实验技能和技巧,是他的科学天才出现的第一次高峰。同时也强有力地激发了法拉第对电磁学的研究信心和热情。
(2)法拉第发现电磁感应现象
英国科学界普遍认为,作用总应伴随着反作用。奥斯特的发现是“电生磁”,促使人们想到了“磁生电”。法拉第就是最早想到“磁生电”的科学家之一。
法拉第相信各种“自然力的统一”,追求这种统一,他确信客观事物本身的结构具有对称性。这是法拉第进行科学研究的思想基础。另一方面,法拉第也是讲求实际的科学家,他认为伏打电堆庞大笨重、造价昂贵,并且电力不足,应该想法设计和制造一种新式电源,以提供清洁、轻便、廉价的强大电力。基于这种观念,他从1822年起即致力于“磁生电”的实验研究,他在一篇日记中写道:“我们要使磁产生电。”“从普通的磁中获得电的希望,时时激励着我从实验上去探求电流的感应效应。”
刚开始,他用磁铁靠近导线,希望从导线中感应出稳定的电流来,并用电流计探测,电流计指针没有偏转。他怀疑这是磁场不够强的原因,就极力地增强磁场,还是不行。后来,他改用通电线圈代替磁铁,仍未看到电流计指针偏转。1828年,他将磁铁放在悬挂着的铜环旁,盼望着从铜环中得到感应电流,仍然归于失败。当时有一种错误观念,这种观念认为:感应电流只同磁力的存在有关,感应电流是一种持续的电流。这种观念的影响致使法拉第10年探索未获成功。
1831年8月29日,法拉第想用一条通电导线的磁场从另一条导线中激发出感应电流来。实验中,为了增强磁场和感应电流,他将两条直导线绕在铁环上,形成两个共芯螺线管。他看到,每当接通或断开一个线圈的电源时,另一个未接电源的线圈中激起了瞬时电流,而且当通电线圈中电流稳定时,另一线圈中电流消失。在这一天的日记中,法拉第对实验装置和他所发现的现象作了真实具体的描述:
“用7/8英寸的软铁棒,制成一个外径为6英寸的圆环。在环的一边(B边),用三段纱包铜线(每段24英寸长)缠绕在圆环上,每绕一段后用白布包好。使用时这三段铜线可以连成一段,最后要检查各段铜线之间是否绝缘好。我们将铁环的左边称为A边。在铁环的A边,用两段总长为60英寸的铜线,绕上与B边完全相同的线圈,两线圈之间留有空隙。”
“用一根长导线把B边线圈两端连接起来,并把直导线的一段架置在离线圈3英尺远处的一个磁针的正上方。当将电池与A边线圈接通时,小磁针立即产生明显摆动,最后又稳定在原来的位置上。当切断A边与电池的连接时,小磁针再一次出现暂时性的扰动。”
法拉第很精心,他注意到了接通电路和断开电路时小磁针有相反的转向。
法拉第历经艰辛后终于发现了电磁感应现象。他不满足已有的发现,进一步提出了三个新的问题:①铁环是产生感应所必需的吗?②线圈A是必须的吗?③用什么方法能够产生持续电流,使它能产生电池的效果?他继续进行实验,以求得这些问题的解答。
法拉第将用纱布包起来的铜线绕在很粗的木棒上,再在它的外层绕上同样长度的纱包线,使一个线圈连上电流计,另一个线圈接上电源。在电路接通和断开时,电流计的指针都发生了明显的摆动。9月24日,他用两个条形磁铁代替线圈A,依然观察到了电流计指针偏转。他写道:“同样效应也可以用寻常磁体产生:用两根各5英尺长的铜线将线圈与电流计连接,并把软铁棒插入线圈中。取两条24英寸长的磁铁,使它们按异性磁极并在一起。然后,把一端分开如马蹄形磁铁,让带线圈的软铁棒夹在其间。”这套装置,如下图所示。

他继续写道:“当铁棒与磁极接触时,指针立即发生摆动,然而继续接触时,指针仍回到原来的位置。当脱离接触时,指针又一次发生摆动,但指针的摆动方向与前次相反。若调换磁铁两极时,指针摆动方向与前次相反。”为了寻求第③个问题的答案,10月17日,法拉第“用厚纸制成一个圆筒,筒外缠绕8段总长为220英尺长的铜线。将线圈的两端与检流计相连。再取直径3/4英寸、长为8.5英寸的棒磁铁……插入线圈时,检流计的指针向某一方向摆动,……拔出时,指针则向前次摆动方向的相反方向摆动。……若磁铁插入又拔出时,指针向一方向摆动后停止,接着再向反向摆动。”
1831年10月28日,法拉第将一个圆形铜盘放在永久磁铁的两极之间,盘面对着磁极,并且可以绕着通过中心的轴转动。他将可以导电的转轴和盘沿用导线连在检流计上,当圆盘转动时,检流计中就有了持续电流。这就是法拉第发明的铜盘发电机。它将机械能转化为电能,实现了电能的连续开发。
电磁感应现象的发现是法拉第科学研究生涯的第二个高峰。
(3)电磁感应定律的确立
1828年,美国物理学家亨利研究电磁铁,通过实验得知,铁芯上绕的线圈匝数越多电磁铁的磁性越强。为了防止铜线之间发生短路,他将妻子的丝绸裙子撕成布条。用来包裹导线,制成了较强的电磁铁。他将铜线缠至400匝,制成了可以提起一吨重物体的强力电磁铁。

亨利在电磁铁研究中想到了:既然“电能生磁”,难道磁就不能生电吗?1830年,亨利在一根条形软铁芯上绕了一个铜线圈,用细铜丝将线圈的两端与40英尺远的电流计相连接,然后将这个带线圈的软铁棒放在电磁铁的两极间。如下图所示。当电磁铁通电瞬间,他发现电流计指针突然产生了偏转,电磁铁电流稳定时,电流计指针恢复原位。如果将电磁铁电流切断,在切断的一瞬间电流计指针也发生偏转,转向与通电瞬间相反。这一实验结果发表在1832年7月的《美国科学》杂志上,比法拉第论文发表晚了近一年。
亨利在1829年8月,研究不同长度的导线线圈对电磁铁吸引力的影响时,在切断电源瞬间看到了电火花,发现了自感现象。第二年他继续研究。1832年发表了《在长螺旋线中的自感》一文。人们为了纪念他,将自感的单位定名为“亨利”。自感现象是一种由电流变化引起的电磁感应现象。亨利1831年还发明了一种电动机,发明了继电器。1842年,确定了电容器放电的振荡性质。他是美国继富兰克林之后最有成果的物理学家。
法拉第在1831年11月24目向英国皇家学会报告了《电学的实验研究》的结果。他将产生电磁感应的条件概括为:①变化的电流;②变化的磁场;③运动的稳恒电流;④运动的磁铁;⑤在磁场中运动的导体。并将“磁生电”的现象定名为“电磁感应”。
法拉第在概括了以上五种情况之后,又进一步作了综合分析,找到了产生电磁感应的基本条件——二次电路(B线圈)中磁力线数量变化。这样就确立了电磁感应定律:导体线圈中的磁力线数量发生变化将在线圈中激起感应电流。
法拉第是伟大的物理学家、化学家、发明家,是电磁理论的奠基人。1791年9月22日,法拉第生于英国伦敦,父亲是铁匠,家境贫困,小学未毕业就当报童。13岁到一个书店当学徒,学徒期间他用业余时间阅读了大量科学书籍,曾四次听化学家戴维的公开学术讲演。为了得到戴维的具体指导,他将自己的课堂笔记和精美的画图装订成册,连同一封自荐信寄给戴维。戴维慧眼识人,热情地邀请他到皇家学会当自己的助手。1813~1815年,法拉第随戴维到欧洲大陆一些国家旅游和讲学,他既是助手,也是管家和仆人。这次外出使他开阔了眼界,接触了一些当时知名的科学家。法拉第工作勤奋,任劳任怨,聪明好学,思维敏捷,圆满地完成了戴维交给的一切工作。1816年,他发表了第一篇论文,以后两年中在化学、气体液化和特殊钢研究方面取得了成果,连续发表了17篇论文。法拉第科研能力之强在当时的年轻人中是很罕见的。1820、年后,法拉第将研究方向转移到电磁学。40多年的科海生涯中,他硕果累累,功勋盖世。
法拉第之所以能在科学方面获得如此巨大成果,是因为他一贯坚持朴素的唯物主义自然观并具有很强的辩证思维能力和惊人的创造性。他相信世界图景的实在性,相信自然力的统一,他坚持实践,辛勤耕耘,独立思考,兼听意见,不断地进行开拓和创新。法拉第曾说:“自然哲学家应当是这样一种人,他愿意倾听每一种意见,却下决心要自己作出判断;他应当不被表面现象所迷惑,不对每一种假说有偏爱,不属于任何学派,在学术上不盲从大师。他应当重事不重人,真理是他的首要目标。如果有这些品质,再加上勤勉,那么他确实有希望走进自然的殿堂。”这段话非常精辟,非常真切,是一切科学工作者的至理名言。
法拉第一生致力于科学研究事业,不图虚荣,甚至不接受为他增加的薪水。他成名之后,世界各国赠给他的学位、学衔和其他荣誉达94种之多,他从来不向任何人展示和炫耀,他说:“我从来没有为追求这些荣誉而工作。”法拉第一生中一直过着清贫而简朴的生活。一个外来的年轻学者在皇家学会实验楼门厅中遇见这位穿着老式衣服的瘦小老头时,误把他当成了勤杂工。当得知这就是名扬四海的法拉第时,年轻学者惊诧得说不出话来。法拉第为后人留下了巨大的知识财富,他的代表作是《电学的实验研究》。他还是一位了不起的科普作家,曾写过《蜡烛的化学史》等书,被译成多种文字,流传很广。伟大的物理学家、经典电磁学奠基人麦克斯韦曾说:“我们把法拉第首先看作是科学家中最有成效、最崇高的典型……他高尚简单而无戏剧性的紧张情节的生活,将同他那使他名字不朽的发现一道永远铭刻在人们的记忆中。”
法拉第是当时世界上许多科学学会的会员,是当时物理学家公认的领袖,是自伽利略以来,从来没有见过的头脑中涌现出那么多奇妙思想和发现的科学巨人,是自学成材的典范,是人类走向电气时代的开路先锋。1867年8月25日,他坐在椅子上安详地去世。
2.电磁感应定律开辟了电气时代的新纪元
电磁感应定律确立以后,电磁学理论和电气技术的发展日新月异,无比迅猛。1832年,法国发明家皮克希依据电磁感应定律制成了永磁交流发电机,当年9月3日在巴黎科学院公开展出。后来按照安培建议,把一个整流子加在发电机上,得到了直流电。第二年11月在英国伦敦展出。皮克希的发电机得到的电流虽然很小,但却是第一台实用的发电机,是所有现代发电机的雏形。1832年德国的高斯提出了绝对单位制,他引入了三个基本单位:秒、毫米、毫克,推动了电磁学理论研究和电磁计量技术的发展。1833年,高斯和韦伯发明了电磁电报机,这是现代电信技术领域的一次突破性进展。
1833年俄国物理学家楞次在深入研究奥斯特、安培和法拉第研究成果的基础上,提出了确定感应电流方向的右手定则——楞次定律:感生电流的方向总是使其产生的磁通用来阻碍原磁通变化的。这一定则的出现,使法拉第电磁感应定律进一步趋于完善。楞次在同年发表的另一篇论文《关于伽伐尼电流的几个实验》中,从理论上给出了电与磁相互转换的可逆性原理,文中写道:“每一电磁实验,都可以转换成相应的磁电实验。为此只要把电磁实验中所发生的运动,以其他某种方式传给伽伐尼电流的导体,这时导体内就会产生电流,其方向和电磁实验中所用的电流方向相反。”楞次定律实际上是能量转化与守恒定律的特殊情况,是机械能与电能相互转化关系的具体表现,对普遍的能量转化与守恒定律的发现起了促进作用。楞次定律可以引出电磁惯性原理,这一原理对解决一系列电工理论问题有重要意义;楞次由他的定律得到了发电机和电动机的可逆性原理,为实用电工学奠定了基础。
在1833年,意大利物理学家梅洛尼制成了温差电堆,这是依据温差电现象制成的一种新型电源。
在这一年里,最重要的发现应属法拉第电解定律。电解定律除有巨大的实用价值外,在理论上成为支持电的分立性质的重要依据。法拉第还发明了伏特计,用来测定电压和电动势。从1837至1848年的十多年里,电磁学理论和电气技术方面成果层出不穷。
1834年,法拉第在不知道亨利发现的情况下,独立地发现了自感现象,并确定了自感电流方向。这一年他还提出场离子存在的假设,提出了“场”的概念;俄国的雅各比制成了带有工作轴的直流电机。1837年,法拉第发现了电介质极化现象。1838年,人们在启封法拉第于1832年2月12日写给皇家学会的密信中发现,他提出了电磁作用以有限速度在介质中以波的形式传播的思想,及光是介质中传播的电磁现象的设想。1841年,关于电流热效应的研究发现了焦耳楞次定律。1843年,法拉第用圆筒实验证明了电荷守恒定律,惠斯通发明了电桥,用来准确测定电阻。1845年,诺伊曼详细研究了电磁感应的数学理论,建立了闭合导体的电磁感应定律;韦伯确立了两个运动电荷间的作用力定律;法拉第发现了顺磁性相抗磁性以及磁致旋光现象。1847年,基尔霍夫得到了解决复杂电路的节点电流定律和回路电压定律。1848年,韦伯发明了电功率计。
电磁感应定律的确立具有划时代的意义。这一定律将长期分立的电与磁两种现象最终统一起来,深刻地揭示了电与磁之间的本质联系,为建立电磁场方程组奠定了基础。人类历史上最伟大的科学家爱因斯坦认为:场的思想是最具有创造性的思想,是自牛顿以来最重要的发现。电磁作用是继万有引力发现以后,人类所发现的又一种基本作用力,它在统一场论、规范场理论研究中具有不可替代的地位。
在实践上,电磁感应定律使人类找到了机械能与电能之间的转换方法,开创了电气化时代的新纪元。19世纪40年代,西欧先进的资本主义国家先后进入了电气化时代的早期阶段。电磁学的飞速发展,引发了第二次世界性技术革命浪潮,以电机为动力的电气化工业体系和各种电气工业生产部门,如电解、电镀、电热、电焊、电冶、电力生产和输送等方面的工厂、企业如雨后春笋般地建立起来,电报、电话等信息技术也被广泛地利用起来。电磁理论和电气技术的进步,把工业生产推向了历史的新高峰。英国在1840年由电气技术造成的劳动生产率是1770年蒸汽技术造成的劳动生产率的27倍,是手工劳动的108倍。70年中,劳动生产率平均每年提高11.28%。这是多么惊人的数字啊!现在,人类利用能源的主要形式是电能。化学能、热能、太阳能、核能的利用,大多也是通过转化为电能后实现的,核技术、电子技术、信息技术离开电能就变得几乎没有意义。我们所处的电气化时代正在迅猛地向前发展着。1993年,全世界发电总量达到12.26万亿千瓦时。最大的水电站是巴西和巴拉圭的伊泰普水电站,装机容量为1260万千瓦。我国长江三峡电站建成后,装机容量为1850万千瓦,那时它将成为世界电站之冠。世界上最大的火电站是俄罗斯的苏尔古特第二电厂,装机容量为480万千瓦;最大的核电站是加拿大的布鲁斯电站,装机容量为728万千瓦。世界上电力生产正在稳步增长,电力技术的发展正在向着高效率、注重环保的更高目标迈进。
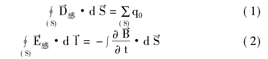
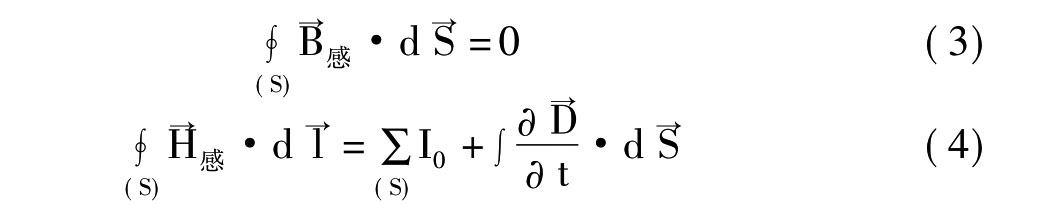
二、电磁场理论
电磁场研究随时间变化情形下的电磁现象和规律。这是电磁学的普遍情形。
当穿过闭合导体线圈的磁通量发生变化时,线圈上产生感应电流。感应电流的方向可由楞次定律确定,即感应电流的方向总是使得它所激发的磁场阻止引起感应电流的磁通量的变化。闭合线圈中的感应电流是感应电动势推动的结果。感应电动势遵从法拉第定律:闭合线圈上的感应电动势的大小总是与穿过线圈的磁通量的时间变化率成正比,即ε=-dФ/dt,式中的负号反映感应电动势的方向,与楞次定律的结论一致。线圈内电流变化在其自身引起感应电动势的现象叫做自感;线圈内电流变化在其他线圈中引起感应电动势的现象叫做互感。线圈的自感和互感性质分别由自感系数和互感系数描述。
感应电动势按其产生的原因不同可分为两种情况:一种是因导线在稳恒磁场中运动切割磁力线产生的感应电动势,叫做动生电动势;另一种是导线不动,因磁场的变化产生的感应电动势,叫做感生电动势。
感生电动势是变化的磁场在其周围激发电场的体现。这样产生的电场是有旋场,与电荷激发的电场不同,它的性质可表述为

在非稳恒情形下,总的电场为电荷激发的电场与变化磁场激发的电场的矢量和,总电场满足的方程为

随实践变化的电厂在其周围也激发有旋的磁场。在非稳恒情形下,总的电场为电流激发的磁电场与变化电场激发的磁场的矢量和。总磁场满足的方程为

式中
称为位移电流密度。式(1)、(2)和(3)、(4)就是普遍情形下电磁场满足的麦克斯韦方程组(积分形式)。
能量问题是物理学关心的重要问题。根据麦克斯韦电磁理论可知:电场中储存电能,单位体积内储存的电能(电能密度)为去
·
,磁场中储存磁能,单位体积内储存的磁能(磁能密度)为
·
,同时存在电场和磁场的空间v内储存的电磁能为W=
dV;电磁场中存在能流,单位时间通过垂直单位面积的能量叫做能流密度,用
表示
又叫做坡印廷矢量。任意空间内发生的电磁过程遵从能量守恒定律。
麦克斯韦方程组描述了电磁场普遍遵从的规律。它同物质的介质方程、洛伦兹力公式以及电荷守恒定律结合起来,原则上可以解决各种宏观电动力学问题。
根据麦克斯韦方程组导出的一个重要结果是存在电磁波,变化的电磁场以电磁波的形式传播,电磁波在真空中传播的速度为
=2.99792458×108m·S-1。这一数值与光在真空中传播的速度相同,说明光是电磁波,光是波长在400~760纳米范围内且能引起人们视觉反应的电磁波。因此,光的波动理论纳入了电磁理论的范畴。
三、近距作用与超距作用之争
关于作用力是否需要中间媒介物质的传递,对此问题的不同观点就形成了近距作用和超距作用的争论。
近距作用和超距作用两种观点早在牛顿之前已经存在了。自古以来把相互接触物体之问的作用,例如物体之间的推、拉、压迫、支撑、撞击、摩擦等,叫做接触作用或近距作用。近距作用的特点是作用力通过媒质逐步传递的,比如逆水行舟时的拉纤。纤夫是主动施力者,水上航行的船是被作用的物体,虽然纤夫并没有直接接触,但是拉力通过纤绳(中间媒介)一段一段地传递而作用到船上,这就是近距作用。非接触物体之间也存在着作用力,例如日月星辰之间的引力、磁石对铁的吸引力、带电体之间的相互作用力等,叫做超距作用。它们之间可以有空气等介质,也可以是。真空”。超距作用的特点是相隔一定距离的物体之间存在着直接的、瞬时的相互作用,比如地球与它上面的物体的吸引。它们之间并不直接接触,但是相互吸引确实存在。这两种观点的对立表现在:超距作用不需要任何媒介传递,从而也不需要传递时间;近距作用则需要中间媒介物质的传递,自然也需要传递时间。显然,这两种观点是针锋相对的。(https://www.daowen.com)
在古代,磁的吸引作用被看作是典型的一种超距作用,人们无法给予合理的解释而认为磁石有灵魂。这样一来,超距作用就带有神秘的色彩。古希腊的自然哲学家则认为物体之间的作用只有通过接触才能发生,亚里士多德曾提出“自然界嫌恶真空”的观点。指出一个物体的运动必定是有一个推动者在不断地和它接触,或是推它,或是拉它,总之是一种近距作用的思想。
1686年,牛顿根据开普勒行星运动三定律和向心力公式提出了万有引力定律,并用以成功地解释了月球和行星的运动以及潮汐现象。之后,以牛顿为一方,以法国科学家莱布尼兹、笛卡儿和荷兰物理学家惠更斯为一方,他们之间围绕万有引力定律产生了争论,争论的问题主要是:万有引力是否存在?万有引力传递的机制究竟是什么?由第二个问题又引申出“超距作用”的问题。当时,牛顿的引力理论是以原子论为基础的。他进一步运用吸引与排斥作用解释了万有引力、化学亲和力、内聚力、光粒子的反射和折射、气体的弹性等现象,这使牛顿倾向于超距作用的观点。他在《光学》一书中写道:“透明的物质超距地作用于光线,使它折射、反射和弯射,而光线则又超距地激励这些物质的各部分,使它们发热起来;这种超距作用和反作用很像物体之间的一种吸引力。”
万有引力定律似乎成了超距作用观点的理论支柱。而笛卡儿与惠更斯等则认为宇宙间充满了“以太”,以太围绕天体形成大小、速度和密度都不同的漩涡,带动天体(如太阳)周围的物体(如行星)转动。莱布尼茨指出原子论的基本观点是原子与虚空,所以引力只能通过虚空而传递,而这种没有介质的引力传递是不合理的。他指责牛顿提出的万有引力不通过介质的中介而从一个物体传到另一个物体上,认为如果引力通过他们主张的介质或以太来传递则是正确的。其实,牛顿本人对超距作用观点有一定的保留,并不赞成对万有引力的超距作用解释。他曾在一封信中写道:“很难其他没有别种无形的媒介,无生命无感觉的物质可以毋须相互接触而对其他物质起作用和产生影响……引力对于物质是天赋的、固有的和根本的,因此,没有其他东西为媒介,一个物体可超越距离通过真空对另一个物体作用,并凭借和通过它,作用力可从一个物体传递到另一个物体。在我看来,这种思想荒唐之极,我相信从来没有一个对哲学问题具有充分思考能力的人会沉迷其中。”
据说,牛顿还曾私下里表示相信,最终能够找到某种物质作用来说明引力。由于18世纪初,法国的笛卡儿学派在反对超距作用的同时,不恰当地否定万有引力的存在。这就激起了牛顿的追随者们起来捍卫牛顿学说,并反对笛卡儿学派的理论和观念,包括“以太”在内c大约在1709~1713年间,英国剑桥大学的青年物理学家科茨得到牛顿的信任,成为《自然哲学的数学原理》第二版的编辑。科茨为《自然哲学的数学原理》的第二版写了一篇序言。通过这篇序言,科茨被认为主张重力是物质内在固有的本质属性,而且重力确实存在并传播到其他物体上,它的传递又通过虚空,则只能是“超距作用”。这也就造成了一种误会,以为牛顿也一直赞成超距作用。
由于万有引力理论的成功,而以太理论没有取得实际进展,超距作用观点就伴随牛顿理论的传播而盛行起来。它从力学领域扩展到物理学的其他领域,在整个18世纪和19世纪的前半个世纪,超距作用观点占据着统治地位。
经典电磁学理论就是在超距作用观点的基础上建立起来的,一些在电磁学理论研究中作出重要贡献的物理学家,如法国的库仑、安培等都信奉超距作用的观点。1785年,库仑通过实验对两个小球电荷之间和磁极之问的相互作用力进行了研究,得出了力与距离的平方成反比的关系。库仑反对笛卡儿的漩涡学说,而深受牛顿的万有引力定律的影响,他根本没有做力与两个电荷量的关系的实验,就认为两个电荷之间的作用力应该与它们的电荷量的乘积成正比。他还证明了两个磁体之间的引力或斥力所遵循的规律与带电物体的作用规律是一样的,基于这种相似性可以认为磁流体和电流体遵从若干相同的规律,从而把静电力和静磁力统一了起来,同时也把超距作用观点带进了法国。
安培也持超距作用的观点,认为电力、磁力和万有引力一样都是瞬时的超距作用,相信牛顿的万有引力公式可以推广到物理学的许多领域,他构造的理论体系甚至被称为超距论电动力学。安培通过实验证实,两根载流导体可以相互吸引和排斥。他把这种力称为“电动力”,意思是指由电流产生的动力。如同牛顿把质量分解为无数质点那样,安培把电流当作由无数“电流元”组成的集合,进而推导出类似于质点引力公式的“电流元”的相互作用力公式。这个公式表明,两个“电流元”之间的相互作用力,与“电流元”的乘积成正比,与“电流元”间的距离的平方成反比。英国著名物理学家麦克斯韦把安培称为“电学中的牛顿”,他说:“安培借以建立电流元之间的力学作用的定律的实验研究是科学上最辉煌的成就之一。整个的理论和实验看来似乎是从这位‘电学中的牛顿’的大脑中跳出来的,并且已经成熟和完全装备完了的。它在形式上是完整的,在精确性方面是无懈可击的,并且它汇总成为一个必将永远是电动力学的基本公式的关系式,由之可以导出一切现象。”把安培的理论归结为超距论电动力学体系,不仅仅是因为他的这一整套方法是属于牛顿的,更为重要的是他的理论所研究的对象只限于“电流元”等产生电动力的“源”。这种“源”是成对出现的,任何一个“源”不可能单独地通过空间传播出它的电磁力。这样,在安培的理论中不考虑时间、空间或力场。
19世纪40年代,德国物理学家诺埃曼和韦伯继承与发展了安培的超距电动力学理论。在英国的法拉第于1831年发现电磁感应现象之后,为弥补安培理论的不足,诺埃曼提出了一个电流的势函数——矢量势,进而他根据矢量势总结出法拉第电磁感应定律。由于诺埃曼是一个超距论者,完全没有场的概念,他为他的理论规定了两个条件:①产生矢量势的电流源必须是闭合的电流;②矢量势的传递是不要时间的。从这两个条件来看,表明诺埃曼的理论是地道的超距论电动力学。韦伯则为了说明“电流元”本身是如何产生的,于1846年提出了一个“电的力学的一般法则”,把库仑的静电力、安培的电动力和法拉第的电磁感应力统一于一个公式中,使他的理论能够包括所有这些方面的现象。在韦伯的法则中,还包含了电流是运动的电荷的假定,特别是由于它包含了两个电荷的相对运动速度和加速度的因素,实际上已经突破了经典力学的中心力概念,不过,诺埃曼却仍把他的理论建立在超距论观点的基础之上。这样,由安培首创的大陆派超距论电动力学理论体系,就由诺埃曼和韦伯等人的发展而更加完善了。
在欧洲大陆,超距论电动力学以精美的数学形式获得了发展;而在英国,却以物理直观的形式发展起来近距作用的场论思想。物理学理论和观念上的这场重大革命、是由物理学家法拉第首先创立的。在超距作用观点占统治地位的情况下,法拉第与众不同,他根据对电磁现象的实验研究,认为超距作用不能很好地解释实验事实。特别是丹麦物理学家奥斯特在1820年做的一个实验,对法拉第产生了直接的影响。
奥斯特用一个小的伽伐尼电池,让电流通过直径很小的铂丝,铂丝下放置一个封闭在玻璃罩中的小磁针,导线和磁针都平行放置。当接通电源时,小磁针向垂直于导线的方向偏转过去。法拉第对此是这样认识的:“我发现通常小磁针被导线的排斥和吸引只是一种假象,磁针的运动不是吸引也不是排斥,也不是任何引力和斥力的结果;而是由于导线中的力的结果,这种力并不吸引或排斥磁极,而是使磁极绕着一个闭合的圆周运动。”这里已经可以看出法拉第对超距直线作用的中心力理论的怀疑。
1831年11月和1832年1月,法拉第相应于他发现的“伏打电感应”和“磁电感应”现象,提出了“电紧张态”和“磁力线”两个新概念。他认为,“电紧张态”是由电流或磁体产生的存在于物体和空间中的张力状态,这种状态的出现、变化和消失,都会使处于这种状态中的导体感应出电流来。“磁力线”则是法拉第为了对磁体和螺线管之间的相对运动产生感生电流现象进行解释而提出的一个概念,后来他扩展了这一概念的应用范围,认为电流的变化也会引起磁力线的变化。这样,法拉第就通过磁力线概念,用“切割磁力线产生电流”对电磁感应定律作出了物理的概括和解释。尽管,此时法拉第尚未确定磁力线的实体性,但已为建立他的力场理论打下了基础。
1832年,法拉第通过对电磁感应过程实验现象的思考,意识到了磁力线的传播是需要时间的。法拉第在现存于英国皇家学会档案馆的一封信里写道:“磁作用的传播需要时间,即当一个磁铁作用于另一个远处的磁铁或者一块铁时,产生作用的原因(我可以称之为磁)是逐渐地从磁体传播开去的,这种传播需要一定时间,而这个时间显然是非常短的。”之后,他又引入了“电力线”的概念,设想电力也像磁力一样是通过力线传播的。这种关于力线及电磁作用过程的非瞬时传播的思想,是对超距作用观点的进一步否定。
从1845年开始的一系列磁感应现象的研究中,法拉第逐步证实了力线的实体性质,最终导致他的场理论的建立。法拉第在1851年写成的《论磁力线》中,肯定了磁力线是真实存在的实体,它司以独立于磁体而存在。磁体的所有作用都是由磁力线引起的,而不是由磁极间的超距作用引起的。他在1855年发表的《论磁哲学的一些观点》中,论述了力线实体性的四个标志:力线的分布可以被物质所改变;力线可以独立于物体而存在;力线具有传递力的能力;力线的传播经历时间过程。在1857年发表的《论力的守恒》中,法拉第把“热力线”、“光线”、“重力线”、“电力线”和“磁力线”都列入空间力场的范围,指出力或场是独立于物体的另一种物质形态,物体的运动都是场作用的结果。这就彻底否定了“中心力”和以它为基础的超距作用,所谓“中心力”是指作用力的方向在电(磁)荷中心联线上。按照超距作用观点,一切远距离的相互作用都是由“源”发射出的“中心力”来实现的,而这种“中心力”又必须以两个物体同时存在为前提,如果只有一个物体,一切能量就不存在了。而按照法拉第的场论观点,空间存在着各种力线,也就存在着能量,只要“拨动”空间力线,作用就会产生。
法拉第的这些物理思想是开创性的,麦克斯韦在法拉第思想的影响下,经过艰苦努力在19世纪60年代建立起电磁场理论。他根据电磁场方程组推论,预言存在着以有限速度传递的电磁波,它的速度为光速。1887年,德国物理学家赫兹通过实验确认了电磁波的存在。说明电磁作用是以光速传播的,而不是瞬时的超距作用。至此,超距作用观点在电磁学中被大多数物理学家所抛弃了。
20世纪初期,爱因斯坦在狭义相对论中指出,真空中的光速是一切物理作用传播速度的极限。这就在整个物理学领域排除了超距作用的可能性。1916年,爱因斯坦进一步提出了广义相对论,认为万有引力也是以光速传播的,这就是引力波。如果探测到引力波,就意味着万有引力作用也不是超距作用。由于引力波太微弱了,所以对它的观测检验异常困难。尽管爱因斯坦在20世纪初期就预言了引力波的存在,直到1978年底,天体物理学家才取得了第一个定量的观测证据。美国天文学家泰勒等人用一架直径300米的射电望远镜对双致密星体系PSRl913+16进行了长达4年的观测,确认了它由于引力辐射阻尼而使公转周期稳定地变短。这个发现对引力波的存在提供了一个有力的支持。
目前,人类认识到的自然界有四种基本的相互作用:引力相互作用、电磁相互作用、弱相互作用和强相互作用。这四种相互作用都是通过场来实现的,万有引力通过引力场交换引力子,电磁作用通过电磁场交换光子,弱相互作用通过中间玻色子场交换W±和Z0粒子,强相互作用通过胶子场交换胶子。四种基本相互作用都是通过交换粒子才能进行,表明近距作用的观点是符合现代物理学理论的。
关于近距作用与超距作用的争论历史,实际上就是人类对物体间相互作用机制的探讨过程,它的一个重要结果就是提出了物质的另一种形态——场。
四、法拉第的科学思想方法
1.确信各种运动形式的相互联系和相互转化
法拉第对自然力(或能)的统一性具有坚定的信念,他始终不渝地为证实各种现象之间的普遍联系而努力。他在《关于光的偏振面的磁致偏转》一文的开始就明确指出:“我长期以来坚持一种看法。几乎可以说是确信,……物质的力借以表现出来的各种形式,都有一个共同的起源,或者换句话说,它们如此地直接关联和相互依赖,以至好象可以从一种形式转换成另一种形式,并在它们的作用中具有相等的能力。”相信并力图揭示自然力的“统一性”这一指导思想是贯穿他整个研究工作的一条主线。他坚持不懈地为从实验上证实电、磁、光之间的联系而努力。显然电磁感应现象和磁致旋光现象的发现都是在他的关于自然力之统一的思想指导下得出的。
法拉第在1831年发现了电磁感应,揭示了电与磁的相互联系后,并不就此止步,而是让研究继续向前发展,揭示自然界各种运动形式的普遍联系。1833年,法拉第研究了用各种不同的办法产生的电(摩擦电、电池的电、动物电、温差热电、电磁感应产生的电等等)是否是同一种电的问题,他在比较了各种电产生的物理效应所得出结论:“电的所有这些形式与得到它们的来源无关,在其本质上是完全相同的。”
1834年,法拉第研究了电与化学的关系,得出了电解定律,即电解所析出的物质的质量与溶液的电量成正比,与析出物的化学当量,亦即与原子价除以原子量的数值成正比。他已将化学亲和力,即各种原子之间相互结合的吸引力,理解为参与化学反应的物质粒子的电吸引力。他说:“我们相信物质的原子被以某种方式赋予了电力或者与电力相关联,我们把大多数物质的明显属性归之于物质的原子,其中就有它们相互之间的化学亲和力。”他又说:“化学亲和力和电力是同一种力。”他反对用接触理论说明电池中电的来源的流行观念,认为接触理论实际上是一种无中生有的能和力的创生说,是和我们已知的各种形式的自然力之间可以互相转换但决不能凭空产生的事实相矛盾的。他说:“……电池的电本身仅仅是真实的化学作用或它的原动力的一种发挥形式,或展现方式,或存在方式。因此我早已说过我赞同那些人的观点,即相信电的供应是来自化学能。”
1845年,法拉第发现了光的振动面在强磁场中的旋转。这表示光学现象与磁学现象间存在内在的联系。当他用一束偏振光顺着磁力线方向透过置于强电磁铁的两个磁极之间的“重玻璃”时,利用尼科耳棱镜,他发现光的偏振面发生了一定角度的偏转,磁力越强,偏转角越大。这就是法拉第的磁致旋光效应。这个发现载于他的《电学的实验研究》第19节。法拉第兴奋地说:“我确信,光与电和磁的关系是从这里开始被发现的。”“这件事更有力地证明,一切自然力都是可以互相转化的,有着共同的起源。”我们知道,这种效应实际上是磁场使位于其中的物质受到影响,间接地使光的偏振面发生旋转,并非磁场对光的直接作用。
法拉第还考虑过“在引力和电力之间可能的联系”。他写道:“有一个古老而不可改变的信念,即自然界的一切力都彼此有关,有共同的起源,或者是同一基本力的不同表现形式。这种信念常常使我想到在实验上证明重力和电力之问联系的可能性。”1849年,他在日记上写道:“重力这种力与电力、磁力和其他力的实验关系一定能够找出来,从而通过相互作用和等价的效应来确定这种关系。考虑了一下如何用事实和试验着手解决这个问题。”要把这些伟大猜测变成科学事实还需要经历一个漫长而艰难的路程,这远远不是法拉第所能完成的。他作为先驱者尽了自己最大的努力。
1859年,他已是68岁的老人,还步履蹒跚地爬到泰晤士河畔滑铁卢大桥附近的高塔上去做实验,观察是否会因重力的变化而产生电荷的变化,结果失败了。他在日记上写道:“现在我的实验就到此为止,结果是否定的。但它们并没有动摇我坚强的信念,即重力和电力之间一定是有关系的。”今天看来,他把问题想得太简单直观了,但他坚信自然力的统一的思想仍然是非常可贵的。
值得指出的是,相信自然界的和谐统一,这也是法拉第同时代许多科学家共同的信念。他们中也有不少人在这种信念影响下从事研究,终于在科学上有所发现。但他们往往是浅尝辄止,缺少穷追到底的气概,或是择一而终,钻进一个课题便很少再考虑其他方面的问题。而法拉第却不同,他比同时代的科学家站得更高,看得更远,认识得更深刻,处理的问题更广泛,正像他的传记作家克劳塞所形容的那样:“他从像庇斯伽山那样的高处,下眺自然界中还没有为人征服的方面,拿出预言家的眼光,画出应该遵循的途径。他使后继的人得到一种线索,可以领导他们在那荆棘丛生的知识道路中安全渡过。”
2.力线和场的概念
法拉第否定超距作用,主张物质之问的电磁力是需要由媒质传递的近距作用力的观点。然而电磁作用究竟怎样借介质接触而传递呢?为了回答这一问题,他引入了力线和场的概念。
早在1821年,当他发现了磁极绕电流或载流导线绕磁铁转动的电磁旋转现象之后,为了说明电磁旋转现象,他提出了“电磁流”的概念。他认为载流导线绕磁极旋转是因为磁极周围存在环形的“电磁流”。联系到撒在磁铁周围的铁屑所排列的曲线,他萌发了磁力线的想法。他在《论某些新的电磁运动和磁的理论》一文中写道:“我相信每个磁学实验对于磁极或金属屑的全部影响是与环流的概念一致的。”
为了定量地、具体地描述空间任何区域磁力的本性、情况、方向和大小,他类比于流体场,提出了场是由力的线或力的管子组成的思想。他说:“如果在空间取一个任意小的闭合曲线,与这个闭合曲线相切的力线形成一个返回到自身的管状的表面。这个表面称之为力管。”力管的设想不只考虑到磁场强度的方向,也考虑到磁场强度的大小。沿着整个管的长度,磁场强度和管的切面积的乘积是一个常数,即力线数的总和不变。在这个基础上法拉第设想把整个空间用力管分成许多部分,并使每个力管具有同样确定的值。为了简单起见,每个力管可以称为一个“力线单位”,于是磁场强度就由单位力线的分散和集中来表示,在任何点通过垂直于力管方向上单位面积的力管数就表示了磁场强度。
法拉第还认为力线并非只是几何的,而且也是物理实在的。他赋予电力线和磁力线一定的机械性质。力管在伸长方向(纵向)有收缩的趋势,而在侧向(横向)有扩张的趋势,因此连结异性电荷或异性磁极的力管将把它们拉向一起,而同性电荷或同性磁极的互相排斥则是因为它们发出的力线不能连接,力管的侧向扩张趋势造成了它们的互相排斥。为了说明力线和力管的物理实在性,他用一张撒上铁屑的纸,在其下面用磁棒轻轻振动,于是这些铁屑就清楚地呈现出磁场的力线。法拉第认为这些力线具有实在的意义,于是他用电力线和磁力线的图形来形象地表示带电体和磁体周围的场。力线上任一点的切线方向就是场强的方向;力线密的地方,场强就强,力线疏的地方,场强就弱;场源不变时,力线图形不变;场源运动或变化时,力线也随之变化。法拉第应用上述观念成功地描述了电磁感应现象以及电场和磁场的许多性质。
在发现电磁感应现象后,他还用磁力线概念来解释这一现象。1831年,他在《电学的实验研究》中指出:“当导线与电源接通时,磁力线向四周扩张,在它横穿过的导线中产生感应电流;在断开电源时,磁力线向着减弱的电流收缩和返回,因此在相反方向上横穿过导线运动,引起了与第一种情况相反的感应电流。”他又指出:“相对于磁铁运动的金属中存在的感应电流取决于金属横切的磁力线,这一定律为我们提供了更精确、更明确的表述。”
法拉第深邃的洞察力还进一步反映在下面的一封信中。1832年,法拉第留下了一封密封的信给英国皇家学会,信封上写着“现在应当收藏在皇家学会档案馆里的一些新观点”。这封信存放了106年,直到1938年才被找出来启封公布。法拉第在信中写道:“……磁作用的传播需要时间,即当一个磁铁作用于另一个远处的磁铁或者一块铁时,产生作用的原因(我认为可以称之为磁)是逐渐地从磁体传播开去的;这种传播需要一定的时间,而这个时间显然是非常短的。我还认为电感应也是这样传播的。我认为磁力从磁极出发的传播,类似于起波纹的水面的振动或者空气粒子的声振动,也就是说,我打算把振动理论应用于磁现象,就像对声作的那样。而且这也是光现象最可能的解释。类比之下,我认为也可以把振动理论运用于电感应。我想用实验来证实这些观点……”
法拉第的这封信,闪烁着光辉的思想,他暗示了电磁波的存在,预言了光是一种电磁振动的传播。经过其后半个世纪麦克斯韦的工作和赫兹的实验,这些光辉思想终于被证实。
1852年,法拉第进一步发展了他的力线思想。他在1月11日发表的《关于磁力的物理线》一文中,强调力线是一种物理存在。他写道:“兹举太阳施加给地球的照明或热力为例,在这情况中,射线(即力线)通过中间的空间;但是我们也可以在它们的路径中间用不同介质来影响它们。我们可以用反射或折射变更它们的方向,我们在光源处切断它们,在它们到达目的物之前去寻找和发现它们。它们与时间有关,来自太阳的射线需要8分钟才能到达地球,所以它们可在离它们的来源之后而独立存在,事实上有个明显的物理存在。”
在论述了静电的力线后,他又转向动电的力线。他写道:“至于动电,则物理力线的证据更为确凿得多。与伏打电池相连接的导线,具有人们所讲的环绕电路的力流。但是这种力流具有一对大小相等方向相反的力轴。它所含的力线能根据导体的横向作用而收缩或扩张,并能随着导体的形状而改变方向;它存在于导体的各部分,并能经由适当的途径依我们的目的而从任何地方取出。毫无疑义,它们是物理力线。”
在谈到磁力线的物质承担者时,他指出:“它可能像光线一样靠以太而存在,光与磁已经联系在一起了。它的存在可能取决于与磁力密切相关的某种张力状态、振动状态或与电流有关的其他状态。”他认为磁力线依赖于物质才能存在,但不能把物质简单地理解为有质的或有重力作用的物质。他反对超距作用的观点,强调物质之间的电磁力是通过媒介传递的近距作用力。他说:“如果我们假定它需靠以太才能存在而承认以太是属于物质种类的话,那么这种力线可能要靠物质的某些作用才能存在。”
法拉第关于力线和场的概念对于电磁学的发展以及整个物理学的发展都是很有影响的。几十年后,汤姆孙评论说:“在法拉第的许多伟大的贡献之中,最伟大的一个就是力线概念了,我想电场和磁场的许多性质借助它就可以简明而富有启发性地表示出来。”爱因斯坦曾高度评价法拉第的工作,认为法拉第在电学中的地位相当于伽利略在力学中的地位。爱因斯坦尤其称赞了法拉第所建立的“场”的新概念:“这样就奠定了同牛顿的物理学原则上不同的物理学的基础,同时在逻辑的一贯性上明显地超过牛顿的物理学。因此,相对论不过是场论的下一个发展阶段。”著名科学史家丹皮尔也指出:“法拉第奠定了实用电学的三大部门,即电化学、电磁感应与电磁波的基础。而且他坚持主张电磁场具有极大重要性,这也是现代物理学理论有关电的方面的历史起点。”
法拉第一生主要从事实验研究,他是杰出的实验物理学大师。他非常重视理论思维,把正确的科学思想作为实验的指南;同时又坚持实验标准这一认识论原则,“努力使实验成为理论和看法的检验和控制器”。他在实验设计上具有新颖的思想,在技术方法上精益求精,力求精确和严密。他那细致入微、善于观察和发现问题的实验本领更是出类拔萃。他发现磁极的位置并不在磁针的端点,而是在磁轴上离磁针端一段距离处。这说明他的实验观察是非常仔细的。美国物理学家库瑞这样说过:“可以这样来评述法拉第:当他考察自然现象时,他的头脑始终是警惕的,任何现象只要在他的实验室里出现一次,他就能把它记住,哪怕这些现象是偶然出现的。”
法拉第不仅在物理学上做出了许多重大的贡献,他的道德品质也是十分高尚的,在如何对待金钱、名誉和地位上,他为后人做出了光辉的榜样。他的学生和朋友丁铎尔在《作为一个发现者的法拉第》一书中写道:“这位铁匠的儿子,订书商的学徒,他的一生一方面可以得到15万镑的财富,一方面是完全没有报酬的学问,要在这两者之间作出选择,结果他选择了后者,终生过着穷困的日子。然而这却使英国的科学声誉比各国都高,获得接近四十年的光荣。”1851年,法拉第被一致选举为英国皇家学会会长,但他坚决辞掉了这个职务,并说:“我希望我一直保持只有一个称号,这就是法拉第。”
五、麦克斯韦的科学思想方法
从19世纪50年代到60年代,麦克斯韦在十年左右的时间内,经历了一条十分曲折的道路,终于建立了完整的电磁场理论。他受到法拉第力线思想的深刻影响,看到了超距作用电磁理论的内在困难和不协调因素,决心致力于建立近距作用观点的电磁场理论。
麦克斯韦于1873年在他的《电学和磁学通论》一书的前言中,叙述了他怎样通过法拉第的《电学的实验研究》一书开始研究电学的,并扼要地总结了法拉第的观点与超距作用理论家们(麦克斯韦称他们为“数学家”)的观点的不同。他说:“法拉第心目中看到的是贯穿整个空间的力线,而数学家看到的则只是超距吸力的中心;法拉第看到的是媒质,而数学家则只看到了距离;法拉第认为现象是发生在媒质内的真实作用,而数学家则满足于发现了作用于电流体上的超距作用力。”
法拉第的力线思想深深地吸引了麦克斯韦,给他留下了非常深刻的印象。他在后来的回忆中曾经谈到他那时如何地“以深深崇敬的虔诚心情,阅读了法拉第关于电磁感应实验的描述”,并说:“法拉第实验所提供的存在力线的美妙例子,促使我相信力线是某种实际存在的东西。”后来麦克斯韦在《电磁场通论》中又对这一点做了进一步的表白,他写道:“我主要是抱着给法拉第这些观念提供数学基础的愿望来承担这部著作的写作工作。”
麦克斯韦用类比研究的方法,为法拉第力线做了精确的数学描述,并以电磁学实验和动力学原理为依据,在前人成果的基础上通过自己的艰苦努力,最终建立起电磁场方程组。麦克斯韦电磁场理论的建立,为我们提供了丰富的方法论的教益和启迪。
1.用类比方法揭示物理现象的内在联系
类比通常指对两类对象在性质或关系方面的类似性进行研究,并在此基础上做出推断。由一类对象已知的属性和关系,而达到对另一类对象的某种未知属性和关系的推测,所以它是一种从特殊到特殊的思维方式。在科学研究中起着触类旁通、启迪思维、为新的科学探索开辟道路的重要作用。
麦克斯韦指出:“物理类比的意思是利用一种科学定律和另一种科学定律之间的部分类似性,用它们中的一个去说明另一个。”“类比是建立在两类定律在数学形式上的相似的基础上。”类比可以沟通不同领域的研究方法,可以在解析的抽象形式和假设之间提供媒介,还可以启发新的物理思想,帮助人们去认识和发现一些尚待研究的物理过程和规律。
麦克斯韦从汤姆孙的类比研究中受到启发,在《论法拉第力线》中,他为了对法拉第的观念做出精密的数学处理,采用了类比办法,把力线和不可压缩流体的流线加以比较。因为流体的速度方向与流线的切线方向相同且反比于流管的截面积,所以力的强度也反比于力管的截面积,这就获得了既表示力的强度又表示力的方向的几何模型。因为在各向同性的无限大的均匀介质中,以流体源为球心,在与此源距离r处的速度与距离的平方成反比,所以点电荷产生的电场强度与流体源在流体中产生的速度相对应。从这些类比中麦克斯韦得出:流体中的压强与静电电势相对应,流体中的压力梯度与电势梯度相对应。他明确指出,由于导体中电阻的存在,为了在一个闭合回路中产生稳恒电流,还必须有电动势存在。
麦克斯韦通过把电场和流速场类比,在对法拉第力线作出了精密的数学处理的基础上,他依据电磁学的一些基本原理(如欧姆定律、安培环路定理等),确立了各电磁量之间的相互联系,采用通量、环流、散度、旋度等具有明确定义的量,来描述电场和磁场在空间中的变化情况,并建立起电磁场的基本方程。
2.用精确的数学语言建立电磁场理论
简明精确的数学语言是表述科学概念、科学理论的重要形式,是科学发展的要求,也是科学成熟的标志之一。正如马克思所说:“科学只有成功运用数学时,才算达到了完善的地步。”随着科学技术的进步。现代科学的发展已日趋定量化,只有定量化的数学描述才能经得起在量上的实验检验,也才能从量的细微差别上寻找理论的不足之处和改进办法。麦克斯韦凭借他深厚的数学基础和娴熟的数学技巧,将他的思想、模型和图像最终表述为电磁场的基本方程组。
麦克斯韦在《论法拉第力线》中,用数学语言表述了法拉第的电紧张态和力线概念。引进了感生电场概念,推导出了感生电场与变化磁场的关系。他在《论物理力线》中,借助于分子涡旋模型,推导出涡旋物质中波以光速传播的公式,揭示了电磁现象与光现象的联系,做出了光是电磁波的预言。他在《电磁场的动力学理论》中,确立了场的概念,引进了位移电流概念,按照电磁学的基本原理(高斯定理、电荷守恒定律)推导出全电流定理,最后建立起电磁场的基本方程。
用精确而定量的数学语言描述物理观念在麦克斯韦的工作中得到充分体现。他用数学公理化的方法对前人的成果加以综合整理,使理论系统化、形式化、规范化,他的电磁场方程组就是科学理论公理化的典范。在《物理学的进化》一书中,爱因斯坦和英费尔德评论说:“这些方程的提出是牛顿时代以来物理学上一个最重要的事件,这不仅是因为它的内容丰富,并且还因为它构成了一种新型定律的典范。”
值得指出的是,麦克斯韦作为数学物理学的大师,是非常重视数学理论与物理实验相结合的。他说:“把数学分析和实验研究联合使用所得到的物理科学知识,比之一个单纯的实验人员或者单纯的数学家能具有的知识更加坚实、有益而牢固。”1874年他创建了世界上闻名的“卡文迪什实验室”并亲自担任了首届主任,树立起良好学风。他在就职演说中说:“习惯的用具——钢笔、墨水和纸张——将是不够的了,我们将需要比教室更大的空问,将需要比黑板更大的面积。”这是对当时在保守的英国大学里还占统治地位的所谓“粉笔”物理学的严厉驳斥。他把实验室看成“科学评论的学校”,倡导用集体的力量来完成科学研究工作。这正是未来自然科学研究方法的基本形式和萌芽。
麦克斯韦与法拉第是近代电磁学史上的两颗巨星,他们都在电磁学领域取得了极大的成功。虽然他们两人的科学方法与科学风格迥然不同,然而麦克斯韦并不因此贬低法拉第的风格。他曾说:“因为人们的心灵各有不同的类型,科学的真理也应当以种种不同的形式来表现。不管他以粗豪的物理方式说明其生动的颜色也好,还是以一种朴素无味的符号表现也好,都应当被当作是同样科学的。”麦克斯韦终身都保持着谦逊谨慎的高尚品格。他曾认为,他自己与法拉第相比,只不过是一枝笔,写出了法拉第那些杰出的科学思想。爱因斯坦曾把他们两人称作科学上的伴侣,就像当年天文学上的第谷和开普勒一样。
爱因斯坦还深刻地阐述了麦克斯韦对物理实在观念发展的影响。他说:“相信有一个离开知觉主体而独立的外在世界,是一切自然科学的基础。”但是人们关于物理实在的观念绝不是不变的。事实上,它在历史进程中已经经历了影响深远的变化。爱因斯坦指出:在牛顿的观点中,质点是我们表示实在的唯一形式,是实在的唯一代表。这种观点本质上是原子论的和机械论的。一切事件都要用机械的方式来解释——也就是说,完全要被解释为按照牛顿运动定律的质点运动。然而,在法拉第和麦克斯韦的观点中,物理实在是由连续的场来表示的。不能对它作机械论的解释。实在概念这一变革,是物理学自牛顿以来的一次最深刻和最富有成效的变革。爱因斯坦还评述道:“自从牛顿奠定理论物理学的基础以来,物理学的公理基础——换句话说,就是我们关于实在的结构的概念——的最伟大的变革,是由法拉第和麦克斯韦在电磁现象方面的工作而引起的。”量子论的创立者普朗克指出:“麦克斯韦的名字将永远镌刻在经典物理学家的门扉上,永放光芒。从出生地来说,他属于爱丁堡;从个性来说,他属于剑桥大学;从功绩来说,他属于全世界。”