学习目的
学会电动机的拆装及绕组展开图的绘制。
基础知识(7课时)
一、所需工具
拉具、锤子、扳手、螺丝刀、木板(2人一组)。
二、电动机拆卸步骤(如图1-41所示)

图1-41 电动机拆卸步骤
(1)卸皮带轮或联轴器,拆电的机尾部风扇罩。
(2)卸下定位键或螺丝,并拆下风扇。
(3)旋下前后端盖紧固螺钉,并拆下前轴承外盖。
(4)用木板垫在转轴前端,将转子连同后端盖一起用锤子从正口中敲出。
(5)抽出转子。
(6)将木方伸进定子铁心顶住前端盖,再用锤子敲击木方卸下前端盖,最后拆卸前后轴承及轴承内盖。
三、装配步骤
1.按拆卸时的逆顺序进行,并注意将各部件按拆卸时所做的标记复位
电动机的装配步骤与拆卸步骤相反。对一般中、小型电动机,只拆除风叶罩、风叶、前轴承外盖和前端盖,而后轴承外盖、后端盖连同前后轴承、轴承内盖及转子一起抽出。
主要零部件的拆装方法:
(1)皮带轮或联轴器的拆装。拆卸时,先在皮带轮或联轴器与转轴之间做好位置标记,拧下固定螺钉和销子,然后用拉具慢慢地拉出。如果拉不出,可在内孔浇点煤油再拉。如果仍拉不出,可用急火围绕皮带轮或联轴器迅速加热,同时用湿布包好轴,并不断浇冷水,以防热量传入电动机内部。装配时,先用细铁砂布把转轴、皮带轮或联轴器的轴孔砂光滑,将皮带轮或联轴器对准键槽套在轴上,用熟铁或硬木块垫在键的一端,轻轻将键敲入槽内。键在槽内要松紧适度,太紧或太松都会伤键和伤槽,太松还会使皮带打滑或振动。
(2)轴承盖的拆装。轴承外盖拆卸很简单,只要拧下固定轴承盖的螺钉,就可取下前后轴承外盖。前后两个轴承外盖要分别标上记号,以免装配时前后装错。轴承外盖的装配方法是;将外盖穿过转轴套在端盖外面,插上一颗螺钉,一手顶住这颗螺钉,一手转动转轴,使轴承内盖也跟着转到与外盖的螺钉孔对齐时,便可将螺钉顶入内盖的螺孔中并拧紧,最后把其余两颗螺钉也装上拧紧。
(3)端盖的拆装。拆卸前,应在端盖与机座的接缝处做好标记,以便复原。然后拧下固定端盖的螺钉,用螺丝刀慢慢地撬下端盖(拧螺钉和撬端盖都要对角线均匀对称地进行)。前后端盖要做上记号,以免装配时前后搞错。装配时,对准机壳和端盖的接缝标记,装上端盖。插入螺钉拧紧(要按对用线对称地旋进螺钉,而且要分几次旋紧,且不可有松有紧,以免损伤端盖)。同时要随时转动转子,以检查转动是否灵活。
(4)转子的拆装。前后端盖拆掉后,便可抽出转子。由于转子很重,应注意切勿碰坏定子线圈。对于小型电动机转子,抽出时要一手握住转子,把转子拉出一些,再用另一只手托住转子,慢慢地外移。对于大型电动机,抽出转子时要两人各抬转子的一端,慢慢外移。装配时,要按上述逆过程进行,要对准定子腔中心小心地送入。
(5)滚动轴承的拆装。拆卸滚动轴承的方法与拆卸皮带轮类似,也可用拉具来进行。如果没有拉具,可用两根铁扁担夹住转轴。使转子悬空,然后在转轴上端垫木块或铜块后,用锤敲打使轴承脱开拆下,在操作过程中注意安全。装配时,可找一根内径略大于转轴外径的平口铁管套入转轴,使管壁正好顶在轴承的内圈上,便可在管口垫木块用手锤敲打。使轴承套入转子定位处。注意轴承内圆与转轴间不能过紧。如果过紧,可用细砂布打转轴表面四周,均匀地打磨一下,使轴承套入后能保持一般的紧密度即可。另外轴承外圈与端盖之间也不能太紧。在总装电动机时要特别注意,如果没有将端盖、轴承盖装在正确位置,或没有掌握好螺钉的松紧度和均匀度,都会引起电动机转子偏心,造成扫膛等不良运行故障。
2.装配后的检验
检查转子是否转动灵活,检测绝缘电阻是否符合要求。
四、绕组展开图的绘制
1.基本概念的学习(2课时)
(1)线圈。绕组是电动机的电路部分,一般绕组都是由多个线圈按一定的方式连接构成的,这种的绕组基本元件是线圈。常用线圈形式及简化图形如图1-42所示。线圈的有效边是将被嵌入铁心槽中,作为电磁能量转换的部分,端部伸出铁心槽外,起连接两有效边的作用。

图1-42 常用线圈及其简化图
1-线圈有效边;2-线圈端部
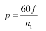
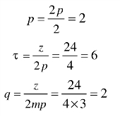
(2)槽数和磁极数。槽数就是铁心上线槽总数,用字母Z表示。如图1-43所示的电动机定子铁心上共有24个线槽,就是定子槽数Z=24槽。

极数是每相绕组通电后所产生的磁极数,电动机的极数总是成对出现的,所以电动机的磁极数就是2p。异步电动机的磁极数可以从电动机铭牌上得到,也可根据电动机转速计算磁极数,即
式中:p——磁极对数;
F——电源频率;
n1——同步转速,若用电动机的转速n代替n1,所得的结果只能取整数。
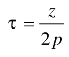
(3)极距和节距。两个相邻磁极轴线之间的距离,称为极距,用字母z表示。极距的大小也可以用铁心上的线槽数表示,若定子总槽数为z,磁极数为2p的电动机,其极距为

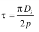
极距也可以用长度表示,若Di为定子铁心内径,单位为mm,其极距为

一个线圈的两条有效边之间相隔的槽数叫节距或跨距。用字母y表示。为了获得较好的电气性能,节距应尽量接近极距τ。种类不同的异步电动机绕组,节距的选取也不相同。一般y=τ的绕组称为整距绕组;y<τ的绕组称为短距绕组;y>τ的绕组称为长距绕组。在实际生产中常用的是整距和短距绕组。
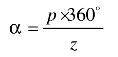
(4)电角度。电动机圆周在几何上分成360°,这个角度称为机械角度。从电磁观点来看,若磁场在空间按正弦波分布,则经过N、S一对磁极,恰好相当于正弦曲线的一个周期,如有导体去切割这种磁场,经过N、S一对磁极,导体中所感生的正弦电势的变化亦为一个周期,变化一个周期即经过360°电角度,一对磁极占有的空间是360°电角度。若电动机有P对磁极,电动机圆周按电角度计算就为P×360°,而机械角度总是360°,因此
电角度=P×机械角度(https://www.daowen.com)
按上式求得的是铁心整个圆周的电角度,在后面的分析中,我们更多用到的是槽距角α,即相邻槽之间的电角度。由于定子槽在定子内圆上是均匀分布的,若Z为定子槽数,P为极对数,则

(5)每极每相槽数:在三相电动机中,每个磁极所占槽数要均等地分给三相绕组,每一个极下每相所占的槽数,称为每极每相槽数,用字母q表示。

式中,m为相数,τ为极距。
(6)相带:所谓相带,就是每个极距内属于每相的槽所占有的区域,一般三相异步电动机中都采用60°相带的三相绕组。
2.24槽4极链式绕组展开图
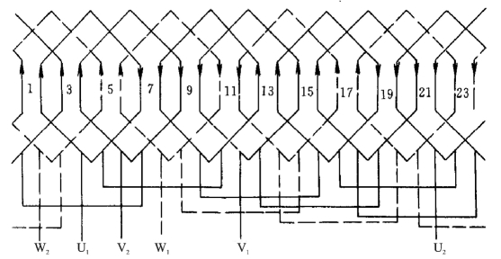
现以J0222-4型三相异步电动机,定子槽数Z=24,极数2P=4为例,说明链式绕组展开图的画法。
(1)计算数据。


(2)绘制绕组展开图(如图1-43所示)。因为p=2,所以将线槽4等分,得到每极6槽,又因每极距内有三个相带,得到每极每相2个槽,将每相线槽适当连接,即可构成绕组展开图,如图所示。应注意各相绕组起端应彼此间隔120°电角度。

图1-43 三相4极24槽电动机链式绕组
(3)检查方法。同检查同心式绕组一样,设U、W相电流为正、V相为负,设U1→U2、W1→W2、V1→V2的方向,看电流方向是否正确,或检查是否形成4个磁极。
(4)端部接线规律、嵌线规律。设线圈左边线头为头,右边为尾,根据绕组展开图可确定24槽4极三相异步电动机链式定子绕组端部接线规律为:头接头,尾结尾。
24槽4极三相异步电动机链式定子绕组嵌线规律为:嵌一空一,吊2。
(5)端部接线图。根据上述定子绕组端部接线规律可画出U相绕组端部接线图(如图1-44所示)。

图1-44 端部接线图
画图时,先画出端部截面,并在上面画出24个槽。根据绕组线头引线方便原则,首先确定U1,然后画出U相四个线圈的头及尾(按顺时针方向转,先到的线头为头,后到的线头为尾),根据链式绕组的特点,按头接头,尾结尾的规律,依次按顺时针方向连接四个线圈,最后标出U2。其次,根据U、V、W相绕组彼此相隔120º电角度的特点,确定V1、W1,按U相端部接线图的画法,顺时针依次画出V、W相绕组的端部接线图。
3.36槽四极交叉绕组电动机定子绕组展开图的绘制
现以定子槽数Z=36,极数2P=4的电动机为例,说明定子单层交叉链式绕组展开图的画法。
![]()
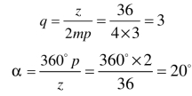
(1)计算数据。

(2)绘制绕组展开图。由于q=3,单链绕组无法排列,我们取一组为两个线圈,其节距为8,另一组为一个线圈,其节距为7,构成单、双圈交叉分布的绕组。在把各相的单、双圈串成一相绕组时,仍应以各有效边内电流方向为依据。如图1-45所示为U相连接图,按同样的规律画出V、W相绕组后,便可以得到如下图所示的三相绕组展开图。

图1-45 U相连接图
(3)端部接线规律、嵌线规律。设线圈左边线头为头,右边为尾,根据绕组展开图可确定36槽4极三相异步电动机交叉式定子绕组端部接线规律为:两个大线圈之间头尾相接,两个大线圈与小线圈之间为头接头、尾结尾。
36槽4极三相异步电动机交叉式定子绕组嵌线规律为:嵌二空一,嵌一空2,吊3。
(4)端部接线图。根据上述定子绕组端部接线规律可画出端部接线图(如图1-46所示)。
画图时,先画出端部截面,并在上面画出36个槽。根据绕组线头引线方便原则,首先确定U1,然后画出U相六个线圈的头及尾(按顺时针方向转,先到的线头为头,后到的线头为尾),根据交叉式绕组的特点,两个大线圈之间头尾相接,两个大线圈与小线圈之间为头接头、尾结尾,依次按顺时针方向连接六个线圈,最后标出U2。其次,根据U、V、W相绕组彼此相隔120°电角度的特点,确定V1、W1,按U相端部接线图的画法,顺时针依次画出V、W相绕组的端部接线图。

图1-46 端部接线图
实训内容
三相异步电动机的拆装(4课时)。
1.三相异步电动机的拆卸;
2.三相异步电动机的装配。
拆装注意事项:
1.不能损坏定子绕组;
2.转子应该转动灵活;
3.拆装过程中注意安全。
免责声明:以上内容源自网络,版权归原作者所有,如有侵犯您的原创版权请告知,我们将尽快删除相关内容。
