6.7.3 预应力筋张拉
预应力筋张拉时,结构的混凝土强度应符合设计要求,当设计无具体要求时,不应低于设计强度标准值的75%。
1.张拉控制应力
控制应力(δcon)直接影响预应力的效果,控制应力越高,建立的预应力值就越大,构件的抗裂性也越好。如果控制应力过高,则预应力筋在使用过程中经常处于高应力状态,构件出现裂缝的荷载与破坏荷载很接近,往往构件破坏前没有明显预兆,这是不允许的。而且当控制应力过高,构件混凝土预压应力过大而导致混凝土的徐变应力损失增加。故控制应力应严格按照设计要求确定。在施工中预应力筋需超张拉时,可比设计要求提高5%。
下列情况可考虑采用超张拉:
(1)为了提高构件在施工阶段的抗裂性能而在使用阶段受压区内设置的预应力筋。
(2)为了部分抵消由于应力松弛、摩擦、钢筋分批张拉以及预应力钢筋与张拉台座之间的温差因素产生的预应力损失。当采用超张拉方法减少预应力筋的松弛损失时,预应力筋的张拉程序可为:
0→1.05σcon(持荷2min)→σcon或者0→1.03σcon
2.张拉端设置
预应力筋张拉端的设置,应按设计要求确定。当设计无具体要求时,应符合下列规定:
(1)抽芯形成孔道:对曲线预应力筋和长度大于24 m的直线预应力筋,可在一端张拉。
(2)预埋波纹管孔道:对曲线预应力筋和长度大于30 m的直线预应力筋,宜在两端张拉。对长度不大于30 m的直线预应力筋可在两端张拉。
当同一截面中有多根一端张拉的预应力筋时,张拉端宜分别设在结构的两端,以使构件受力均匀。
3.张拉顺序
张拉过程中,为避免产生过大偏心力,预应力筋应对称张拉。对配筋较多的构件,要分批、分阶段对称张拉,张拉顺序应符合设计要求。
分批张拉时,由于后批张拉的作用力,使混凝土再次产生弹性压缩而导致先批预应力筋应力下降,此应力损失可按下式计算后加到先批预应力筋的张拉应力中去。

式中 Δσ——先批张拉钢筋应增加的应力;
Es——预应力筋弹性模量;
Ec——混凝土弹性模量;
σcon——预应力筋张拉控制应力;
σI——后批张拉预应力筋的第一批应力损失(包括锚具变形与摩擦损失);
Ap——后批张拉的预应力筋面积;
An——构件混凝土净截面面积(包括构造钢筋折算面积)。(https://www.daowen.com)
分批张拉的损失也可采取对先批预应力筋逐根复拉补足的办法处理。
4.预应力筋伸长值校核
预应力筋在张拉时,通过伸长值的校核,可以综合反映出张拉应力是否满足,孔道摩阻损失是否偏大,以及预应力筋是否有异常现象等。因此规范规定当采用应力控制方法张拉时,应校核预应力筋伸长值。如实际伸长值比计算伸长值大10%或小5%,应暂停张拉,分析原因后应采取措施。
实测伸长值应在建立初应力之后进行,其实际伸长值应为
ΔL'=ΔL
+ΔL
-Δ
式中 ΔL'——预应力筋实测伸长值;
ΔL
——从初应力至最大张拉力之间的实测伸长值;
ΔL
——初应力以下推算伸长值;
Δ——施加应力后,后张法构件混凝土弹性压缩值引起预应力筋内缩,当其值微小时,可略去不计。
初应力取值应不低于10%的σcon,以保证预应力筋拉紧。
对于初应力以下的推算伸长值ΔL
,可根据弹性范围内应力应变成正比的关系,用计算法确定。计算法是根据张拉时预应力筋应力与伸长值的关系来推算。如某预应力筋张拉应力从0.3σcon增加到0.4σcon,钢筋伸长量4 mm,若初应力确定为10%σcon则其从ΔL
为4mm。
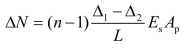
5.叠层构件的张拉
后张法预应力混凝土构件,一般在工地平卧重叠制作,重叠层数一般限制在3~4层。由于构件混凝土接触面摩阻力的存在,使得张拉时构件的弹性压缩变形受到限制,而当构件起吊后,摩阻力消失,构件混凝土弹性压缩变形将产生一个增量,引起预应力损失。该损失值与构件形式、隔离层和张拉方式有关。为减少和弥补该项预应力损失,可自上而下逐层加大张拉力。底层张拉力,对钢丝、钢绞线、热处理钢筋,不宜比顶层张拉力大5%;对冷拉Ⅱ、Ⅲ、Ⅳ级钢筋,不宜比顶层张拉力大9%。为了使逐层加大的张拉力符合实际情况,最好在正式张拉前对某叠层第一、二层构件的张拉压缩值进行实测,然后按下式计算各层应增加的张拉力:

式中 ΔN——层间摩阻力;
n——构件所在层数(自上而下计);
Δ1——第一层构件张拉压缩值;
Δ2——第二层构件张拉压缩值;
L——构件长度;
Es——预应力筋弹性模量;
Ap——预应力筋截面面积。
6.孔道灌浆
预应力筋张拉锚固后,即可进行孔道灌浆。孔道灌浆的目的是为了防止钢筋的锈蚀,增加结构的整体性和耐久性,提高结构的抗裂性和承载能力。灌浆用的水泥浆应有足够强度和黏结力,且应有较好的流动性、较小的干缩性和泌水性。应采用强度不低于42.5 MPa普通硅酸盐水泥,水灰比宜控制在0.4左右搅拌后3 h泌水率宜控制在2%,最大不得超过3%。由于纯水泥浆的干缩性和泌水性都较大,凝结后往往形成月牙空隙,故对空隙大的孔道,可采用砂浆灌浆。砂浆宜选用细砂,并宜掺入水泥重量万分之一的铝粉或0.25%的木质素磺酸钙,以增加灌浆的密实性和灰浆的流动性。水泥浆及砂浆强度,均不应小于20 N/mm2。灌浆用的水泥浆或砂浆要过筛,在灌浆过程中应不断搅拌,以免沉淀析水。灌浆工作应连续进行,不得中断,并应防止空气压入孔道而影响灌浆质量。灌浆压力以0.5~0.6 N/mm2为宜,如压力过大,易胀裂孔壁。灌浆前,应用压力水将孔道冲刷干净,湿润孔壁。灌浆顺序,应先下后上,以免上层孔道漏浆把下层孔道堵塞。直线孔道灌浆时,应从构件一端灌到另一端。曲线孔道灌浆时,应从孔道最低处向两端进行。如孔道排气不畅,应检查原因,待故障排除后重灌。当灰浆强度达到15 N/mm2时,方能移动构件,灰浆强度达到100%设计强度时,才允许吊装。