5.2 International disaster aid
2026年01月14日
5.2 International disaster aid
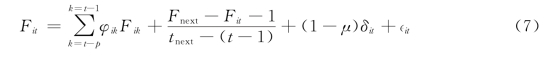
With the implementation of international disaster aid,we modify the prediction model as follows:
(https://www.daowen.com)
Of which F i,t-1 represents the indicator value i of the year t-1,F next the value of the next development milestone and t next the year of the next development milestone.The meaning of the model lies in the fact that it can not only adjust the implementation of policies flexibly according to the gap between the current and the next milestones and the time,but also weaken the influence of random interference,thus ensuring each development milestone achieved as much as possible.