6.1 矩阵与线性方程组
在人们的社会实践中,许多变量之间的关系可以直接或近似地表示成线性关系,可以表示成线性方程组.因此研究变量间的线性关系,解线性方程组是非常重要的.本节我们以中学阶段二元一次方程组的知识为学习起点,引出n元线性方程组的概念,学习把n元线性方程组写成矩阵的形式,用矩阵的秩判断线性方程组解的情况,用简化阶梯形矩阵、逆矩阵来解线性方程组.
案例1 当电流经过电阻(如电机或灯泡)时,会产生“电压降”.根据欧姆定律U=IR,其中U为电阻两端的“电压降”,I为流经电阻的电流强度,R为电阻,U,I和R的单位分别为福特、安培和欧姆.对于电路网络,任何一个闭合回路的电流服从希尔霍夫电压定律:沿某个方向环绕回路一周的所有电压降U的代数和等于沿同一方向环绕该回路一周的电源电压.求出图6-1中电流强度I1,I2,I3,I4的大小.

图6-1 电路
分析 电路图的4个回路中,每个电阻电压降的代数和等于电源电压,可列出方程组,解方程组可得到电流I1,I2,I3,I4的大小.
解 回路1中,各电阻的电压降总和为
I1+7I1+4I1-4I2-7I3=12I1-4I2-7I3.
回路2中,各电阻的电压降总和为
5I2+4I2+4I2-5I4-4I1=-4I1+13I2-5I4.
回路3中,各电阻的电压降总和为
2I3+6I3+7I3-7I1-6I4=-7I1+15I3-6I4.
回路4中,各电阻的电压降总和为
3I4+5I4+6I4-5I2-6I3=-5I2-6I3+14I4.
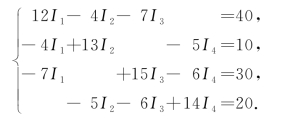
根据各回路上电压降总和等于电源电压,得到下列方程组为

在MATLAB命令窗口输入以下命令

所以,I1,I2,I3,I4的大小分别为13.16,8.51,11.98,9.61.
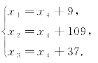
案例2 某城市的交通图如图6-2所示,每一条道路都是单行道,图中数字表示某一个时段的机动车流量.假设针对每一个十字路口,进入和离开的车辆数相等.计算每两个相邻十字路口间路段上的交通流量xi(i=1,2,3,4).

图6-2 交通图
分析 根据交通图中的4个十字路口,进入和离开的车辆数相等,可列出4个方程构成的方程组,解方程组得到每两个相邻十字路口间路段上的交通流量x1,x2,x3,x4.
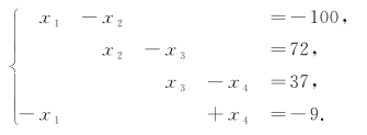
解 根据已知条件,得到十字路口的流通方程如下
A:x1+360=x2+260.
B:x2+220=x3+292.
C:x3+320=x4+357.
D:x4+260=x1+251.
整理以上方程得出方程组为

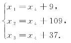
用初等行变换将方程组的增广矩阵化为简化阶梯形,

由于(A,β)的最后一行全为零,方程组中只有三个有效方程,所以有无穷组解,以x4为自由变量,其解为

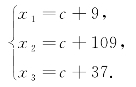
令x4=c,得方程组得解为

在MATLAB命令窗口输入以下命令

所以,
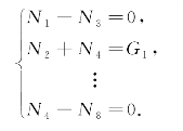
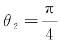
案例3 如图6-3所示的双杆系统中,杆1的重量G1=200N,长度L1=2m,水平方向的夹角
,杆2重量G2=100N,长度
m,与水平方向的夹角
,三个铰接点A,B,C所在平面垂直于水平面.求杆1,杆2在铰接点处所受到的力.

图6-3 双杆系统
分析 在图6-3所示的双杆系统中,已知杆1重G1 =200N,长L1=2m,与水平方向的夹角为
,杆2重G2=100N,长
m,与水平方向的夹角为
,三个铰接点A,B,C所在平面垂直与水平面.求杆1,杆2在铰接点处所受到的力.
假设两杆都是均匀的,在铰接点处的受力情况如图6-4所示.
对于杆1
水平方向受到的合力为零即N1-N3=0,故N1=N3.
竖直方向受到的合力为零即N2+N4-G1=0,故N2+N4=G1.
以点A为支点的合力矩为零即
0,故
![]()

图6-4 两杆受力图解(https://www.daowen.com)
对于杆2,类似地有

此外还有N3=N7,N4=N8.于是将上述8个等式联立起来得到关于N1,N2,…,N8的线性方程组

在MATLAB命令窗口输入以下命令

案例4 现有木工、电工、油漆工各一人,他们相互装修每家的房子,工作的天数见表6-1.
表6-1 工作的天数 单位:d

他们签订协议如下:(1)每人工作10d(包括在自己家的日子);(2)每人的日工资在60~80元之间;(3)日工资数应使每人的总收入和总支出相等.求每人的日工资.
分析 事实上各人都不必付自己工资,各家应付工资和各人应得收入见表6-2,这时各家应付工资和各人应得收入相等.x,y,z分别是木工,电工,油漆工的日工资.
表6-2 各家应付工资和各人应得收入 单位:元

解 设木工,电工,油漆工的日工资分别是x,y,z,各人都不必付自己工资,则各家应付工资和各人应得收入相等.由此可得

在MATLAB命令窗口输入以下命令

上述齐次线性方程组的同解为

根据题中的第二个条件“每人日工资在60~80元之间”,得到

所以,木工、电工、油漆工的日工资分别为
元,
元,k元.
案例5 某公司生产A,B,C三种产品,每种产品的成本分为三类:原料成本、人工成本、管理与其他成本.每一类成本中,给出生产单位产品所需要的成本估计量,同时给出每季度生产每种产品的数量.以上数据见表6-3和表6-4.计算每季度生产三种产品的每类成本值.
表6-3 单位产品需要的成本 单位:元

表6-4 每季度的产量 单位:件

分析
春季生产三种产品的原料成本值是:0.10×4000+0.30×2000+0.15×5800.
夏季生产三种产品的原料成本值是:0.10×4500+0.30×2600+0.15×6200.
秋季生产三种产品的原料成本值是:0.10×4500+0.30×2400+0.15×6000.
冬季生产三种产品的原料成本值是:0.10×4000+0.30×2200+0.15×6000.
春季生产三种产品的工资成本值是:0.30×4000+0.40×2000+0.25×5800.
夏季生产三种产品的工资成本值是:0.30×4500+0.40×2600+0.25×6200.
秋季生产三种产品的工资成本值是:0.30×4500+0.40×2400+0.25×6000.
冬季生产三种产品的工资成本值是:0.30×4000+0.40×2200+0.25×6000.
春季生产三种产品的管理与其他成本值是:0.10×4000+0.20×2000+0.15×5800.
夏季生产三种产品的管理与其他成本值是:0.10×4500+0.20×2600+0.15×6200.
秋季生产三种产品的管理与其他成本值是:0.10×4500+0.20×2400+0.15×6000.
冬季生产三种产品的管理与其他成本值是:0.10×4000+0.20×2200+0.15×6000.
实际上,每季度生产三种产品的每类成本值就是将表6-3中三种产品的三类成本分别与表6-4中每季度的产量对应数字相乘再相加.所以,用到矩阵乘法运算的知识.
解 表6-3对应的矩阵为
,
表6-4对应的矩阵为
,
.
在MATLAB命令窗口输入以下命令

每季度生产三种产品的每类成本值见表6-5.
表6-5 每季度的每类成本 单位:元
