6.1.1 n元线性方程组
在平面解析几何中,两条直线的位置关系从几何角度考虑,有平行、相交、重合三种,相应地,两条直线的交点有下列三种情况:无交点,一个交点和无数个交点.两条直线的位置关系从代数角度考虑,利用两条直线方程构成的方程组,对方程组求解,也对应有下列三种情况:无解,一组解和无数组解.
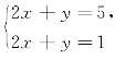
引例1
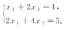
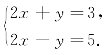
(1)直线2x+y=5和直线2x+y=1平行,无交点,
即方程组
无解.
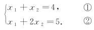
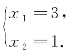
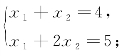
(2)直线2x+y=3和直线2x-y=5相交,且有一个交点(2,-1),
即方程组
的解为
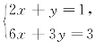
(3)直线2x+y=1和直线6x+3y=3重合,有无数个交点,
即方程组
有无数组解.
以上每个方程都是含有两个未知数,且未知数的次数都是1次,统称为二元一次方程.二元一次方程构成的方程组称为二元一次方程组.
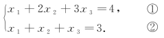
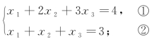
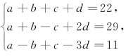
引例2
中的每一个方程都是含有三个未知数,且未知数的次数都是1次的三元一次方程.三元一次方程构成的方程组称为三元一次方程组.
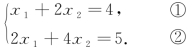
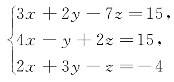
引例3
同样地,
是四元一次方程构成的方程组,称之为四元一次方程组.
我们把上面的二元一次方程,三元一次方程,二元一次方程组,三元一次方程组,四元一次方程组做进一步的推广,来学习n元线性方程和n元线性方程组.
定义1 设a1,a2,…,aj,…,an,b1都是常数,x1,x2,…,xj,…,xn是未知数,则表达式称式(6.1.1)为n元线性方程.其中常数aj是未知数xj的系数,j=1,2,3,…,n,b1是常数项.
![]()
定义2 对于n元线性方程式(6.1.1)a1x1+a2x2+…+ajxj+…+anxn=b1
如果存在n个常数c1,c2,…,cj,…,cn,且a1c1+a2c2+…+ajcj+…+ancn=b1,显然,x1=c1,x2=c2,…,xj=cj,…,xn=cn.
则称
是线性方程式(6.1.1)的一个解.
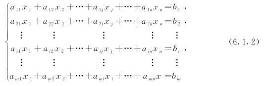
定义3 由m个n元线性方程构成的方程组

称式(6.1.2)为n元线性方程组.其中aij(i=1,2,3,…,m,j=1,2,3,…,n)表示方程组(6.1.2)中未知数xj的系数;aij中的i是方程组中第i个方程的标号,aij中的j是方程中第j个未知数的标号;bi中的i是方程组中第i个方程的标号.
定义4 如果存在n个常数c1,c2,…,cj,…,cn,使得
是线性方程组(6.1.2)中所有方程的解,则称
是线性方程组(6.1.2)的一个解.
例1 判断下列未知数的值是否为方程组
的解.
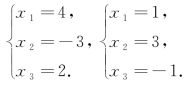
(1)x=1,y=4,z=9;(2)x1=1,y=2,z=3;(3)x=-41,y=29,z=0.
解 (1)把x=1,y=4,z=9代入方程组等号左边,得

显然,x=1,y=4,z=9不满足第二方程和第三个方程.
所以,x=1,y=4,z=9不是方程组的解.
(2)把x=1,y=2,z=3,代入方程组等号左边,得

显然,x=1,y=2,z=3满足三个方程.
所以,x=1,y=2,z=3是方程组的解.(https://www.daowen.com)
(3)把x=-41,y=29,z=0代入方程组等号左边,得

显然,x=-41,y=29,z=0满足三个方程.所以x=-41,y=29,z=0是方程组的解.
从例题中,我们可以看出x=1,y=2,z=3和x=-41,y=29,z=0都是这个程组的解,所以该方程组的解不是唯一的.
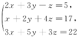
例2 求下列方程组的解.
(1)
(2)
(3)
解 采用中学学习的加减消元法,来解方程组.
(1)
②-①得x2=1
把x2=1带入①得x1=3
所以方程组的解为
(2)
①-②得x2+2x3=1,一个方程中有两个未知数,当x3取不同的常数时,x2就有对应的数值.不妨取x3=0,
x3=1,x3=2,
x3=-1,…,则x2=1,x2=-1,x2=-3,x2=3,….
把x2,x3对应的值带入到②中,得到方程组的解为
…
(3)
②-①得x1+2x2=1,它与①相矛盾,所以该方程组无解.
从例2中,可以看到方程组(1)有一组解,方程组(2)有无数组解,方程组(3)无解.
一般地,一个线性方程组可能无解,也可能有解.有解时,它的解可能有无数组,也可能只有一组.
那么,如何判断一个线性方程组是否有解?有解时,如何判断其解是无数组还是只有一组?如何求出它的解?
课后提升
1.求下列线性方程组的解.
(1)
(2)
(3)
2.当前,中国农村发展进入新阶段,家庭农场越来越受到人们的喜爱.小明到一个农场度假,他看到草地上有一群鸡和羊.他数了一下,共有23个头和64条腿.草地上分别有多少只鸡和羊?
3.某商场用36万元购进A,B两种商品,销售完后共获利6万元,其进价和售价见表6-6.
表6-6 商品进售价 单位:元/件

求该商场购进A,B两种商品各多少件?
答案
1.(1)
(2)无解;(3)无数组解.
2.鸡14只,羊9只.
3.A商品200件,B商品120件.