6.1.3 矩阵的概念
引例1 某集团公司的三个生产基地A,B,C都生产甲,乙,丙三种产品,上半年的产量(t)见表6-7.
表6-7 上半年产量 单位:t

上表可以用一个3行3列的矩形数表简略地表示为

引例2 某种商品从5个产地通过快递运到4个用户,如果aij表示由产地Ai(i=1,2,3,4,5)运到用户Bj(j=1,2,3,4)的数量.运输方案见表6-8.
表6-8 某商品的运输方案

上表可以用一个5行4列的矩形数表简略地表示为

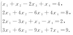
引例3
线性方程组

中,未知数xj的系数aij和常数项bi,按原来的顺序排列成的矩形数表为

定义1
由m×n个数aij(i=1,2,…,m;j=1,2,…,n)排成m行n列的矩形数表

称为m行n列矩阵,简称为m×n矩阵.通常用大写英文字母A,B,C…表示矩阵,如果需要表明矩阵的行数和列数,记作Am×n,有时也可记作A=(aij)m×n,其中aij称为矩阵A中第i行第j列的元素,有时简称元.横排叫行,竖排叫列.
定义2
m×n线性方程组

未知数的系数构成的矩阵称为系数矩阵
.
未知数构成的矩阵称为未知数矩阵
.
常数项构成的矩阵称为常数项矩阵
.
系数矩阵A与常数项矩阵β组成的矩阵称为增广矩阵B

如,方程组
系数矩阵表示为

增广矩阵表示为

定义3
行数与列数均为n的矩阵,称为n阶方阵.
如
就是一个2阶方阵.
在n阶方阵中,从左上角到右下角的直线称为主对角线,从右上角到左下角的直线称为次对角线.
定义4(https://www.daowen.com)
对于一个方阵,主对角线上的元素都是1,其他元素都是0,称此矩阵为单位矩阵.记作E,即
.
定义5
1×n的矩阵,只有一行元素,称为n维行矩阵.
如A=(1-230)就是一个4维行矩阵.
定义6
n×1的矩阵,只有一列元素,称为n维列矩阵.
如
就是一个4维列矩阵.
定义7
如果矩阵A的所有元素都为零,则称A为零矩阵,记作O;至少有一个元素不为零的矩阵称为非零矩阵.
矩阵中所有元素都为零的行称为零行,反之称为非零行;所有元素都为零的列称为零列,反之称为非零列.
定义8
如果矩阵A满足下列条件:
(1)矩阵A的零行在A的最下方;
(2)矩阵A各非零行的第一个非零元aij的列指标j随行指标i的递增而严格增大.
那么,矩阵A称为阶梯形矩阵.
阶梯形矩阵A的非零行的第1个非零元素称为A的主元.
说明
①阶梯形矩阵主元的个数等于其非零行的个数;
②零矩阵是特殊的阶梯形矩阵.
如
都是阶梯形矩阵.
定义9
阶梯形矩阵A的主元都是1,且主元所在列上的其他元素都为零,则A称为简化阶梯形矩阵.
如
都是简化梯形矩阵.
课后提升
1.简述下列概念.
(1)5×6矩阵;(2)方阵;(3)单位矩阵;(4)列矩阵,行矩阵;(5)阶梯形矩阵;(6)简化阶梯形矩阵.
2.有四个工厂均能生产甲、乙、丙三种产品,其单位成本见表6-9,请你用矩阵把它表示出来.
表6-9 产品的单位成本 单位:万元

3.写出下列线性方程组的系数矩阵A,未知数矩阵X,常数项矩阵β和增广矩阵 B.

4.写出下列增广矩阵对应的线性方程组.

5.下列矩阵中,哪些是单位矩阵?哪些是阶梯形矩阵?哪些是简化阶梯形矩阵:

答案
(略)