能力提升
1.解线性方程组有哪些方法?这些方法有哪些异同点?
2.简述阶梯形矩阵和简化阶梯形矩阵,并指出二者的区别.
3.什么叫矩阵的秩,一个矩阵的秩是否是唯一的,一个矩阵的阶梯形矩阵是否为唯一?
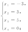
4.解下列线性方程组.

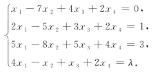
5.当λ为何值时,下列线性方程组有解?若有解,求出它的解.

6.某减肥食谱用33种食物精确提供31种营养,现仅考虑三种食品三种营养成分的含量见表6-14.试求三种食品的组合,使得混合食物该食谱一天所需要的营养.
表6-14 食物营养成分 单位:g

答案
1~3.(略).
4.(1)
(2)x1=x2=x3=x4=0.
5.当λ=3,方程组有无数解.
6.略.