6.1.7 用逆矩阵解线性方程组
6.1.4学习了用简化阶梯形矩阵解线性方程组,6.1.5学习了用矩阵的秩判断线性方程组解的情况.下面,我们来学习用逆矩阵解线性方程组.
在式(6.1.2)中,m×n线性方程组

系数矩阵
未知数矩阵
常数项矩阵
上边的线性方程组用矩阵可表示为AX=β,
等式两端边的左边同乘以A-1得,A-1AX=A-1β.
因为A-1A=E,
所以EX=A-1β.
又因为EX=X,
所以,X=A-1β.
由上面的推理可知,线性方程组用逆矩阵解线性方程组的步骤是:
(1)分别写出线性方程组系数矩阵A,未知数矩阵X和常数项矩阵β;
(2)求系数矩阵A的逆矩阵A-1;
(3)用矩阵的乘法运算求得A-1β得X.
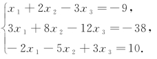
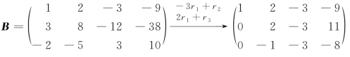
例1 用逆矩阵求解线性方程组
解 
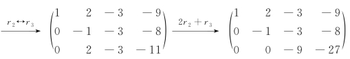
线性方程组R(A)=R(B)=3,未知数的个数是3,所以,线性方程组有唯一解.
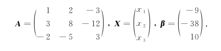
线性方程组的系数矩阵,未知数矩阵和常数项矩阵分别是(https://www.daowen.com)

所以,X=A-1β.

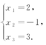
所以,原方程组的解为
有上面解的过程可以看出,用逆矩阵解线性方程组比较麻烦,而且只有方阵才可能有逆矩阵,所以该方法解线性方程组有一定的局限性,系数矩阵必须是方阵.用简化阶梯形矩阵或阶梯形矩阵解线性方程组相对要简便很多,而且系数矩阵不受方阵的限制,它使用于解各种情况的线性方程组.
使用MATLAB程序,用逆矩阵解线性方程组会非常简便.程序如下:

定义 对于式(6.1.2)的线性方程组,若右端常数项全为零,则称为齐次线性方程组.它的系数矩阵A与增广矩阵B的秩总是相等的,即R(A)=R(B),所以齐次线性方程组总是有解的,并由定理1知道:
(1)当R(A)=n时,齐次方程组有唯一的一组零解(x1=0,x2=0,…,xn=0);
(2)当R(A)<n时,齐次线性方程组有无穷多组解,易知齐次线性方程组有非零解的充要条件是R(A)<n.
例4 求解齐次线性方程组
解

由于R(A)=2<n=5,故有非零解,原方程组同解方程组为

令
x3=c1,x4=c2,x5=c3.
故得非零解
