6.2.2 行列式的性质与计算
在n较小时,可以直接用定义去求行列式的值.但对于n较大的行列式,如果按定义去求值,计算量是相当大的.为了简化行列式的计算,我们首先来学习行列式的性质.
6.2.2.1 行列式的性质
设行列式

把D的行依次变成列,并且不改变它们的次序,得到一个新的的行列式

我们把DT称为D的转置行列式.
性质1 行列式D与它的转置行列式DT相等.即D=DT.
性质2 若行列式有两行(列)对应的元素相同,则行列式为0.
性质3 交换行列式两行(列)对应元素的位置,行列式变号.
性质4 若行列式的某一行(列)元素有公因子k,则此公因子可提到行列式符号外面,即
.
性质5 若行列式有两行(列)对应元素成比例,则此行列式为0.
性质6 若行列式的某一行(列)元素能表示成两个元素的和的形式,则此行列式可拆成两个行列式的和,即

性质7 把行列式的某一行(列)元素的k倍加到另一行(列)元素上,得到的新行列式和原来的行列式相等.即

6.2.2.2 行列式的计算
有了行列式的性质之后,可以首先利用行列式的性质把行列式化成比较简单的形式(如含有较多的零元素),然后再利用定义求行列式的值.(https://www.daowen.com)
例1 计算四阶行列式的值
.
解 按行列式性质3,第一行与第二行互换,得

再根据性质7,把第一行的各元素分别乘以2,加到第二行上;把第一行的各元素分别乘以-3,加到第三行上;把第一行的各元素分别乘以-2,加到第四行上,得

再把第二行上各元素分别乘以2,加到第三、四行上,使第三行第二列上的上元素为零,第四行第二列上的元素为零,得

再把第三行上各元素分别乘以
,加到第四行上去,得
,这时,D4化成三角形行列式,则
.
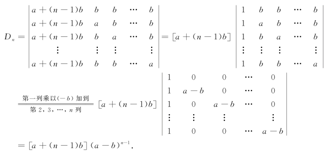
例2 计算n阶行列式
.
解 此行列式的特点是:每一列(行)元素的和是一个定值,利用性质7,我们把行列式的第2,3,…,n列分别乘以1加到第一列得

课后提升
利用行列式的性质计算下列行列式.

答案
(1)-2800;(2)51.