8.5.3 二阶常系数线性微分方程的解法
观察式(8.5.1)左端结构特点,发现其为同类型函数,而只有指数函数求导后是同类型函数,故设想函数y=erx的形式为方程(8.5.1)的解,求出y′=rerx,y″=r2erx.将其同时代入方程(8.5.1)有
![]()
因erx≠0.故有
![]()
由此知,当r是方程r2+pr+q=0的根时,y=erx即为方程y″+py′+qy=0的解.因此称方程(8.5.3)为方程(8.5.2)的特征方程,该特征方程的根即为特征根.
(1)当p2-4q>0,方程(8.5.3)有两个实根r1,r2.则
与
为方程(8.5.2)的解.并且
不为常数.故方程(8.5.2)的通解为![]()
(C1,C2为任意常数).
(2)当p2-4q=0,方程的根为r1=r2=r,则y=erx是方程(8.5.2)的解,其通解为y=(C1+C2x)erx.
(3)当p2-4q<0时,方程的根为r=α+βi.则y=e(α+βi)x是方程(8.5.2)的解,其通解为y=eαx(C1cosβx+C2sinβx).
综上所述,求解二阶常系数线性齐次微分方程解的步骤:
①写出对应的特征方程:r2+pr+q=0.
②求特征根r1 与r2.
③依据特征根情况写出方程通解.
例1 求下列微分方程的通解.
(1)y″-4y′+3y=0;(2)y″-4y′+4y=0;(3)y″+3y=0.
解 (1)对应特征方程为
r2-4r+3=0;
特征根为
r1=3,r2=1,
故通解为
y=C1e3x+C2ex;
(2)对应特征方程为
r2-4r+4=0;
特征根为
r=2,
故通解为
y=(C1+C2x)e2x;
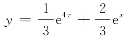
(3)对应特征方程为
r2+3=0,
特征根为
r=±3i,
故通解为
![]()
用MATLAB软件求解如下:
(https://www.daowen.com)
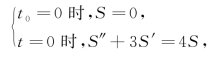
例2 设一小汽车以v0速度行驶,任意时刻的加速度与速度的3倍之和等于路程的4倍,试确定该汽车的运动方程.
解 建立微分方程
S″+3S′=4S,
对应的特征方程
r2+3r-4=0,
通解为
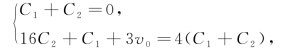
S=C1et+C2e-4t.
故
S′=-4C2e-4t+C1et,
S″=16C2e-4t+C1et,
由题意知,初始条件为:

将其代入通解,有

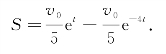
解得

因此,该质点的运动规律为

用MATLAB软件求解如下:

课后提升

常微分方程发展简史
1.求微分方程的通解.
(1)y″-3y′+2y=0;
(2)y″+2y′+y=0;
(3)y″-2y′+4y=0.
2.求微分方程满足初始条件的一个特解.
(1)y″-5y′+4y=0,y|x=0=1,y′|x=0=2;
(2)y″-6y′+9y=0,y|x=0=1,y′|x=0=1.
答案
1.(1)y=C1ex+C2e2x;(2)y=C1e-x+C2xe-x;
(3)
.
2.(1)
;(2)y=e3x-2xe3x.