9.4.2 回归分析
1.多元线性回归
回归分析中最简单的形式是y=β0+β1x,x,y均为标量,β0,β1为回归系数,称一元线性回归.它的一个自然推广是x为多元变量,形如
![]()
m≥2,或者更一般地
![]()
其中x=(x1,…,xm),fj(j=1,…,m)是已知函数.这里y对回归系数β=(β0,β1,…,βm)是线性的,称为多元线性回归.不难看出,对自变量x作变量代换,就可将式(9.4.2)化为式(9.4.1)的形式,所以下面以式(9.4.1)为多元线性回归的标准型.
2.模型
在回归分析中自变量x=(x1,x2,…,xm)是影响因变量y的主要因素,是人们能控制或能观察的,而y还受到随机因素的干扰,可以合理地假设这种干扰服从零均值的正态分布,于是模型记作

其中σ未知.现得到n个独立观测数据(yi,xi1,…,xim),i=1,…,n,n>m,由式(9.4.3)得

记

![]()
式(9.4.4)表示为

3.参数估计
用最小二乘法估计模型式(9.4.3)中的参数β.由式(9.4.4)这组数据的误差平方和为

求β使Q(β)最小,得到β的最小二乘估计,记作
,可以推出
![]()
将
代回原模型得到y的估计值
![]()
而这组数据的拟合值为
,拟合误差
称为残差,可作为随机误差ε的估计,而

为残差平方和(或剩余平方和),即
.
4.统计分析
不加证明地给出以下结果:
(1)
是β的线性无偏最小方差估计.指的是![]()
是Y的线性函数;
的期望等于β;在β的线性无偏估计中,的方差最小.
(2)
服从正态分布
![]()
(3)对残差平方和Q,EQ=(n-m-1)σ2,且
![]()
由此得到σ2的无偏估计

s2是剩余方差(残差的方差),s称为剩余标准差.
(4)对Y的样本方差
进行分解,有

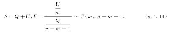
其中Q是由式(9.4.10)定义的残差平方和,反映随机误差对y的影响,U称为回归平方和,反映自变量对y的影响.
5.回归模型的假设检验
因变量y与自变量x1,…,xm之间是否存在如模型式(9.4.1)所示的线性关系是需要检验的,显然,如果所有的
都很小,y与x1,…,xm的线性关系就不明显,所以可令原假设为
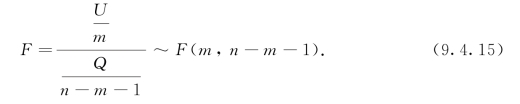
H0:βj=0(j=1,…,m)当H0成立时由分解式(9.4.14)定义的U,Q满足

在显著性水平α下有1-α分位数F1-α(m,n-m-1),若F<F1-α(m,n-m-1),接受H0;否则,拒绝.
注意 拒绝H0只说明y与x1,…,xm的线性关系不明显,可能存在非线性关系,如平方关系.
还有一些衡量y与x1,…,xm相关程度的指标,如用回归平方和在样本方差中的比值定义

R∈[0,1]称为相关系数,R越大,y与x1,…,xm相关关系越密切,通常,R大于0.8(或0.9)才认为相关关系成立.
6.回归系数的假设检验和区间估计
当上面的H0被拒绝时,βj不全为零,但是不排除其中若干个等于零.所以应进一步作如下m个检验(j=1,…,m):
.
由式(9.4.11),
,cjj是(XTX)-1对角线上的元素,用s2代替σ2,由式(9.4.11)~式(9.4.13),当
成立时

对给定的α,若
,接受
;否则,拒绝.
式(9.4.17)也可用于对βj作区间估计(j=0,1,…,m),在置信水平1-α下,βj的置信区间为
![]()
其中
.
7.利用回归模型进行预测
当回归模型和系数通过检验后,可由给定的x0=(x01,…,x0m)预测y0,y0是随机的,显然其预测值(点估计)为
![]()
给定α可以算出y0的预测区间(区间估计),结果较复杂,但当n较大且x0i接近平均值
时,y0的预测区间可简化为
![]()
其中
是标准正态分布的
分位数.
对y0的区间估计方法可用于给出已知数据残差
的置信区间,ei服从均值为零的正态分布,所以若某个ei的置信区间不包含零点,则认为这个数据是异常的,可予以剔除.
8.MATLAB实现
MATLAB统计工具箱用命令regress实现多元线性回归,用的方法是最小二乘法,用法是:
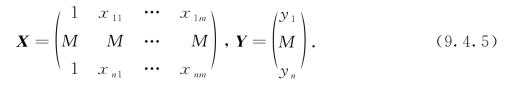
b=regress(Y,X)
其中Y,X为按式(9.4.5)排列的数据,b为回归系数估计值
.
[b,bint,r,rint,stats]=regress(Y,X,alpha)
这里Y,X同上,alpha为显著性水平(缺省时设定为0.05),b,bint为回归系数估计值和它们的置信区间,r,rint为残差(向量)及其置信区间,stats是用于检验回归模型的统计量,有三个数值,第一个是R2见式(9.4.16),第二个是F见式(9.4.15),第3个是与F对应的概率P,P<α拒绝H0,回归模型成立.
残差及其置信区间可以用rcoplot(r,rint)画图.
例1 合金的强度y与其中的碳含量x有比较密切的关系,今从生产中收集了一批数据见表9-36.
表9-36 数据

试先拟合一个函数y(x),再用回归分析对它进行检验.
解 先画出散点图:

可知y与x大致上为线性关系.
设回归模型为
![]()
用regress和rcoplot编程如下:

得到

即
的置信区间是[18.6851,36.2594],
的置信区间是[75.7755,199.2245];R2=0.7985,F=27.7469,P=0.0012.
可知模型式(9.4.21)成立.
观察命令rcoplot(r,rint)所画的残差分布,除第8个数据外其余残差的置信区间均包含零点,第8个点应视为异常点,将其剔除后重新计算,可得

应该用修改后的这个结果.
例2 某厂生产的一种电器的销售量y与竞争对手的价格x1和本厂的价格x2有关.表9-37是该商品在10个城市的销售记录.
表9-37 销售记录(https://www.daowen.com)

试根据这些数据建立y与x1和x2的关系式,对得到的模型和系数进行检验.若某市本厂产品售价160(元),竞争对手售价170(元),预测商品在该市的销售量.
解 分别画出y关于x1和y关于x2的散点图,可以看出y与x2有较明显的线性关系,而y与x1之间的关系则难以确定,我们将作几种尝试,用统计分析决定优劣.
设回归模型为
![]()
编写如下程序:


得到但取α=0.01则模型不能用;R2=0.6527较小;
可以看出结果不是太好:P=0.0247,取α=0.05时回归模型式(9.4.22)可用,
的置信区间包含了零点.下面将试图用x1,x2的二次函数改进它.
9.多项式回归
如果从数据的散点图上发现y与x呈较明显的二次(或高次)函数关系,或者用线性模型式(9.4.1)的效果不太好,就可以选用多项式回归.
(1)一元多项式回归,一元多项式回归可用命令polyfit实现.
例3 将17至29岁的运动员每两岁一组分为7组,每组两人测量其旋转定向能力,以考察年龄对这种运动能力的影响.现得到一组数据见表9-38.
表9-38 运动能力

试建立二者之间的关系.
解 数据的散点图明显地呈现两端低中间高的形状,所以应拟合一条二次曲线.
选用二次模型
![]()
编写如下程序:

得到

上面的s是一个数据结构,用于计算其他函数的计算,如
![]()
得到y的拟合值,及预测值y的置信区间半径delta.
用polytool(x0,y0,2),可以得到一个如图9-4的交互式画面,在画面中绿色曲线为拟合曲线,它两侧的红线是y的置信区间.你可以用鼠标移动图中的十字线来改变图下方的x值,也可以在窗口内输入,左边就给出y的预测值及其置信区间.通过左下方的Export下拉式菜单,可以输出回归系数等.这个命令的用法与下面将介绍的rstool相似.

图9-4 交互式拟合
(2)多元二项式回归,统计工具箱提供了一个作多元二项式回归的命令rstool,它也产生一个交互式画面,并输出有关信息,用法是
![]()
其中输入数据x,y分别为n×m矩阵和n维向量,alpha为显著性水平α(缺省时设定为0.05),model由下列4个模型中选择1个(用字符串输入,缺省时设定为线性模型):
linear(线性):y=β0+β1x1+…+βmxm
purequadratic(纯二次):![]()
interaction(交叉):![]()
quadratic(完全二次)![]()
我们再作一遍例2商品销售量与价格问题,选择纯二次模型,即
![]()
编程如下:

得到一个如图9-5所示的交互式画面,左边是x1(=151)固定时的曲线y(x1)及其置信区间,右边是x2(=188)固定时的曲线y(x2)及其置信区间.用鼠标移动图中的十字线,或在图下方窗口内输入,可改变x1,x2图左边给出y的预测值及其置信区间,就用这种画面可以回答例2提出的“若某市本厂产品售价160(元),竞争对手售价170(元),预测该市的销售量”问题.

图9-5 vstool交互式拟合
图的左下方有两个下拉式菜单,一个菜单Export用以向MATLAB工作区传送数据,包括beta(回归系数),rmse(剩余标准差),residuals(残差).模型式(9.4.24)的回归系数和剩余标准差为

另一个菜单model用以在上述4个模型中选择,你可以比较以下它们的剩余标准差,会发现以模型式(9.4.24)的rmse=16.6436最小.
10.非线性回归和逐步回归
本节介绍怎样用MATLAB统计工具箱实现非线性回归和逐步回归.
(1)非线性回归,非线性回归是指因变量y对回归系数β1,…,βm(而不是自变量)是非线性的.MATLAB统计工具箱中的nlinfit,nlparci,nlpredci,nlintool,不仅给出拟合的回归系数,而且可以给出它的置信区间,及预测值和置信区间等.下面通过例题说明这些命令的用法.
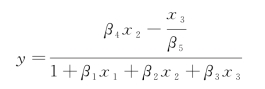
例4 在研究化学动力学反应过程中,建立了一个反应速度和反应物含量的数学模型,形式为

其中β1,…,β5是未知的参数,x1,x2,x3是三种反应物(氢,n戊烷,异构戊烷)的含量,y是反应速度.今测得一组数据见表9-39,试由此确定参数β1,…,β5,并给出其置信区间.β1,…,β5的参考值为(0.1,0.05,0.02,1,2).
表9-39 数据

解 首先,以回归系数和自变量为输入变量,将要拟合的模型写成函数文件huaxue.m:

然后,用nlinfit计算回归系数,用nlparci计算回归系数的置信区间,用nlpredci计算预测值及其置信区间,编程如下:


用nlintool得到一个交互式画面,左下方的Export可向工作区传送数据,如剩余标准差等.使用命令
![]()
可看到画面,并传出剩余标准差rmse=0.1933.
(2)逐步回归,实际问题中影响因变量的因素可能很多,我们希望从中挑选出影响显著的自变量来建立回归模型,这就涉及到变量选择的问题,逐步回归是一种从众多变量中有效地选择重要变量的方法.以下只讨论线性回归模型式(9.4.1)的情况.
变量选择的标准,简单地说就是所有对因变量影响显著的变量都应选入模型,而影响不显著的变量都不应选入模型,从便于应用的角度应使模型中变量个数尽可能少.
若候选的自变量集合为S={x1,…,xm},从中选出一个子集S1⊂S,设S1中有l个自变量(l=1,…,m),由S1和因变量y构造的回归模型的误差平方和为Q,则模型的剩余标准差的平方
,n为数据样本容量.所选子集S1应使s尽量小,通常回归模型中包含的自变量越多,误差平方和Q越小,但若模型中包含有对y影响很小的变量,那么Q不会由于包含这些变量在内而减少多少,却因l的增加可能使s反而增大,同时这些对y影响不显著的变量也会影响模型的稳定性,因此可将剩余标准差s最小作为衡量变量选择的一个数量标准.
逐步回归是实现变量选择的一种方法,基本思路为,先确定一初始子集,然后每次从子集外影响显著的变量中引入一个对y影响最大的,再对原来子集中的变量进行检验,从变得不显著的变量中剔除一个影响最小的,直到不能引入和剔除为止.使用逐步回归有两点值得注意,一是要适当地选定引入变量的显著性水平αin和剔除变量的显著性水平αout,显然,αin越大,引入的变量越多;αout越大,剔除的变量越少.二是由于各个变量之间的相关性,一个新的变量引入后,会使原来认为显著的某个变量变得不显著,从而被剔除,所以在最初选择变量时应尽量选择相互独立性强的那些.
在MATLAB统计工具箱中用作逐步回归的是命令stepwise,它提供了一个交互式画面,通过这个工具你可以自由地选择变量,进行统计分析,其通常用法是:
![]()
其中x是自变量数据,y是因变量数据,分别为n×m和n×1矩阵,inmodel是矩阵x的列数的指标,给出初始模型中包括的子集(缺省时设定为全部自变量),alpha为显著性水平.
stepwise命令产生三个图形窗口:StepwiseTable,Stepwise History,StepwisePlot.
Stepwise Table窗口中列出了一个统计表,包括回归系数及其置信区间,模型的统计量(RMSE R-square,F,p等,其含义与regress,rstool相同).你可以通过这些统计量的变化来确定模型.
StepwiseHistory窗口显示RMSE的值及其置信区间.
StepwisePlot窗口,显示回归系数及其置信区间,绿色表明在模型中的变量,红色表明从模型中移去的变量,两边有虚线或实线,虚线表示该变量的拟合系数与零无显著差异,实线则表明有显著差异.在这个窗口中还有ScaleInputs和Export按钮.
按下ScaleInputs表明对于输入数据的每列进行正态化处理,使其标准差为1.点击Export产生一个菜单,表明了要传送给MATLAB工作区的参数,它们给出了统计计算的一些结果.
下面通过一个例子说明stepwise的用法.
例5 水泥凝固时放出的热量y与水泥中4种化学成分x1,x2,x3,x4有关,今测得一组数据如下,试用逐步回归来确定一个线性模型

编写程序如下:

得到StepwiseTable如下:

可以看出,x3,x4不显著,移去这两个变量(程序为stepwise(x,y,[1,2]))后的统计结果如下:

这个表中的x3,x4两行用红色显示,表明它们已移去.
从新的统计结果可以看出,虽然剩余标准差s(RMSE)没有太大的变化,但是统计量F的值明显增大,因此新的回归模型更好一些.使用前面的回归分析方法可以求出最终的模型为
y=52.5773+1.4683x1+0.6623x2.

用事件概率预测未来