习题1.1
2026年01月14日
习题1.1
1.1){x-2<x<-1或x>-1};2){x3≤x≤
或-
≤x≤-3}.
2.{x2kπ≤x≤2kπ+π,k∈Z}.
3.3).
4.
5.f(1)=0,f(0)=-1,f(a)=3a2-2a-1,f(-x)=3x2+2x-1,f(x+1)=3x2+4x,
f(f(x))=27x4-36x3-12x2+16x+4.
6.定义域[-2,3],f(-1)=1,f(0)=2,f(2)=3.
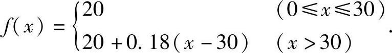
7.定义域[0,+∞),值域[0,+∞),
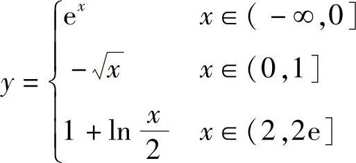
,
.
8.略.(https://www.daowen.com)
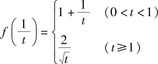
9.略.
10.1)偶;2)奇;3)非奇非偶;4)奇.
11.y=ex+3-2.
12.
.
13.求
14.1)y=au,u=tanx;2)y=lnu,u=arcsinv,v=x2.
15.略.
16.
.