差分方程简介
一、差分与差分方程的一般概念
定义6.3 设函数y=f(x),记为yx,则差yx+1-yx称为yx的一阶差分,简称为差分,记为Δyx,即
Δyx=yx+1-yx.
定义6.4 yx的一阶差分的差分
Δ(Δyx)=Δ(yx+1-yx)=(yx+2-yx+1)-(yx+1-yx),记为Δ2yx,称为yx的二阶差分,即
Δ2yx=Δ(Δyx)=yx+2-2yx+1+yx.
同样定义三阶差分,四阶差分,…
Δ3yx=Δ(Δ2yx),Δ4yx=Δ(Δ3yx),…
二阶及二阶以上的差分统称为高阶差分.
由差分的定义,可知差分具有如下性质:
1)ΔC=0(C为常数);
2)ΔCyx=CΔyx(C为常数);
3)Δ(yx+zx)=Δyx+Δzx.
例1 求Δ(x2),Δ2(x2),Δ3(x2).
解 设yx=x2,那么
Δyx=Δ(x2)=(x+1)2-x2=2x+1,
Δ2yx=Δ2(x2)=Δ(2x+1)=[2(x+1)+1]-(2x+1)=2,
Δ3yx=Δ(Δ2yx)=Δ(2)=2-2=0.
例2 设yx=λx,求Δyx.
解 yx+1=λx+1=λ·λx=λyx,于是
Δyx=yx+1-yx=(λ-1)λx.
定义6.5 含有自变量、未知函数以及未知函数差分的方程,称为差分方程.方程中含有未知函数差分的最高阶数称为差分方程的阶.
n阶差分方程的一般形式为
F(x,yx,Δyx,Δ2yx,…,Δnyx)=0 (6-25)
将Δyx=yx+1-yx,
Δ2yx=yx+2-2yx+1+yx,
Δ3yx=yx+3-3yx+2+3yx+1-yx,
︙代入式(6-25),则方程变成
F(x,yx,yx+1,…,yx+n)=0 (6-26)
反之,方程式(6-26)也可以化为式(6-25)的形式.因此差分方程也可以定义如下:
定义6.6 含有自变量以及未知函数两个以上(含两个)时期值的符号的方程,称为差分方程.方程中含有未知函数下标的最大值与最小值的差称为差分方程的阶.
比如,二阶差分方程yx+2-2yx+1-yx=3x,可以化为
yx-2yx-1-yx-2=3x-2.
事实上,将原方程左边写成
(yx+2-yx+1)-(yx+1-yx)-2yx=Δyx+1-Δyx-2yx=Δ2yx-2yx.
则原方程可以化为Δ2yx-2yx=3x.
定义6.7 如果一个函数代入差分方程后,方程两边恒等,则称此函数为该差分方程的解.
比如,差分方程yx+1-yx=2,把函数yx=15+2x代入此方程,则左边=[15+2(x+1)]-(15+2x)=2=右边,故yx=15+2x是方程的解.
在实际问题中,往往要根据系统在初始时刻所处的状态,对差分方程附加一定的条件,这种附加条件称之为初始条件.满足初始条件的解称为特解.如果差分方程的解中含有任意常数的,且任意常数的个数恰好等于方程的阶数,则称它为差分方程的通解.
比如,对于一阶差分方程Δyx=0,易知它的通解是yx=A(A是任何实常数).
二、一阶常系数线性差分方程
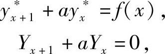
形如yx+1+ayx=f(x)(a≠0,且a为常数) (6-27)的方程称为一阶常系数线性差分方程.
其中,f(x)为已知函数,yx是未知函数.解差分方程就是求出方程中的未知函数.式(6-27)中当f(x)≠0时,称之为非齐次的,否则称之为齐次的.即
yx+1+ayx=0 (6-28)该式称为与式(6-27)对应的齐次差分方程.
下面介绍一阶常系数差分方程的解法
1.齐次方程的解
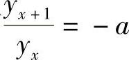
显然,yx=0是方程式(6-28)的解.
若yx≠0,则有
,即{yx}是以A为首项,公比为-a的等比数列,于是方程式(6-28)的通解为yx=Aax.当a=1时,通解为yx=A.
2.非齐次方程的解法
由前面的概念可以看出,差分方程与微分方程有许多相似之处.微分方程描述变量连续变化过程,而差分方程一般描述变量离散变化过程.当自变量间隔很小时,差分可以看成微分的近似.因此,差分方程和微分方程在解的结构、解的性质以及求解方法上基本相似.比如,若yx∗是式(6-27)的一个特解,Yx是式(6-28)的解,则yx=yx∗+Yx是式(6-27)的解.事实上,

两式相加得
即yx=yx∗+Yx是式(6-27)的解.
因此,如果yx∗是式(6-27)的一个特解,则
yx=yx∗+Aax
就是式(6-27)的通解.这样,为求式(6-27)的通解,只需求出它的一个特解即可.
下面来讨论当f(x)是某些特殊形式的函数时式(6-27)的特解.
情形1 f(x)=pn(x)(n次多项式),则方程式(6-27)为
yx+1+ayx=pn(x),(6-29)
如果yx是m次多项式,则yx+1也是m次多项式,并且当a≠-1时,yx+1+ayx仍是m次多项式,因此若yx是式(6-29)的解,应有m=n.
于是,当a≠-1时,设yx∗=B0+B1x+…+Bnxn是式(6-29)的特解,将其代入式(6-29),比较两端同次项的系数,确定出B0,B1,…,Bn,便得到式(6-29)的特解.
当a=-1时,方程式(6-29)成为yx+1-yx=pn(x),或Δyx=pn(x).因此,yx应是n+1次多项式,此时设特解为yx∗=x(B0+B1x+…+Bnxn),代入式(6-27),比较两端同次项系数来确定B0,B1,…,Bn,从而可得特解.
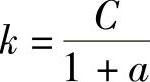
特别地,pn(x)=C(C为常数),则式(6-29)为
yx+1+ayx=C (6-30)
当a≠-1时,设yx∗=k,代入式(6-30)得
,所以特解为
.
当a=-1时,设yx∗=kx,代入式(6-30),得k=C,得特解为yx∗=Cx.
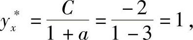
例3 求差分方程yx+1-3yx=-2的通解.
解 a=-3≠1,C=-2,对应齐次方程的通解为Y=A3x.非齐次方程的特解为

所以,差分方程的通解为yx=1+A3x.
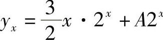
例4 求差分方程yx+1-2yx=3x2的通解.
解 由a=-2知,对应齐次方程的通解为Y=A2x.
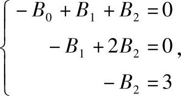
设yx=B0+B1x+B2x2是方程的解,将它代入方程,则有
B0+B1(x+1)+B2(x+1)2-2B0-2B1x-2B2x2=3x2,整理得(-B0+B1+B2)+(-B1+2B2)x-B2x2=3x2,比较同次项系数得

解得B0=-9,B1=-6,B2=-3,方程的特解为yx=-9-6x-3x2,而相应的齐次方程的通解为A2x,于是得差分方程的通解yx=-9-6x-3x2+A2x.
例5 求差分方程yx+1-yx=3x2+x+4的通解.
解 由a=-1知,对应齐次方程的通解为Y=A.
设特解为yx∗=x(B0+B1x+B2x2),代入原方程得(https://www.daowen.com)
3B2x2+(2B1+3B2)x+(B0+B1+B2)=3x2+x+4,
比较系数得
解得B0=4,B1=-1,B2=1,
特解为yx∗=x(4-x+x2).
因而得通解yx=x3-x2+4x+A.
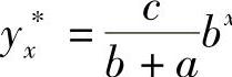
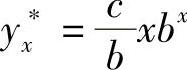
情形2 f(x)=cbx(其中c、b均为常数,且b≠1),即
yx+1+ayx=cbx.(6-31)
当b≠-a时,设yx∗=kbx为特解,代入式(6-31)并化简,得k(b+a)=c,所以
,于是
.
当b=-a时,设yx∗=kxbx为特解,代入式(6-31)并化简,得
,所以特解为
.
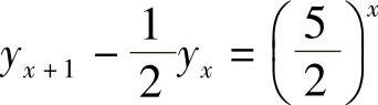
例6 求差分方程
的通解.
解
,
,c=1,对应齐次差分方程的通解为
,非齐次差分方程的特解为
,所以,原差分方程的通解为

例7 求差分方程yx+1-2yx=3·2x满足初始条件y0=4的特解.
解 由a=-2知,对应齐次差分方程的通解为Y=A·2x.由于b=2=-a,则特解为
,所以原方程的通解为
.
代入初始条件y0=4,解得A=4,所以原方程的特解为

三、二阶常系数线性差分方程
形如
yx+2+ayx+1+byx=f(x) (6-32)的方程称为二阶常系数线性非齐次差分方程.
当f(x)≡0时,式(6-32)变为
yx+2+ayx+1+byx=0 (6-33)称为二阶常系数线性齐次差分方程.
1.二阶常系数线性差分方程解的结构
定理6.5 设y1x与y2x都是式(6-33)的解,则y1x与y2x的线性组合
yx=A1y1x+A2y2x也是式(6-33)的解.
定理6.6 设y1x与y2x都是式(6-33)的解,且y1x与y2x线性无关,则
yx=A1y1x+A2y2x便是式(6-33)的通解,其中A1,A2是任意常数.
定理6.7 设yx=A1y1x+A2y2x是式(6-33)的通解,且yx∗是式(6-32)的一个特解,则
Y=yx∗+A1y1x+A2y2x是式(6-32)的通解.
由上面的定理,为了求出方程式(6-32)的通解,只需先求出相应的齐次方程(6-33)的两个线性无关的通解,再求出式(6-32)的一个特解即可.
2.二阶常系数线性齐次差分方程的解
与相应的二阶微分方程类似,可设方程式(6-33)具有形如yx=λx的特解,代入式(6-33)并消去λx,得
λ2+aλ+b=0 (6-34)
式(6-34)称为式(6-33)的特征方程.根据方程式(6-34)的根的不同情况,讨论如下.
1)设特征方程式(6-34)有两个不同的实根λ1≠λ2,则式(6-33)有两个线性无关的特解y1x=λx1,y2x=λx2.
因此式(6-33)的通解便是yx=A1λx1+A2λx2.
2)设特征方程式(6-34)有两个相同的实根λ1=λ2=λ,则y1x=λx是式(6-33)的一个特解.仿微分方程可求出另一特解
y2x=xλx.于是式(6-33)的通解是
yx=(A1x+A2)λx(A1,A2是任意常数).
3)设式(6-33)的特征方程式(6-34)有两个共轭的复数根
λ1=α+βi,λ2=α-βi.
可以证明方程方程式(6-33)有两个线性无关的实数特解
y1∗=rxcosβx,y2∗=rxsinβx.其中,
,
,
,
因此式(6-33)的通解是yx=rx(A1cosβx+A2sinβx).
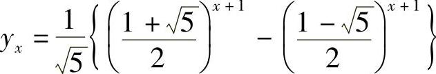
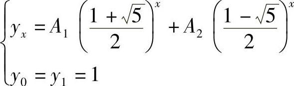
例8 假设有人年初买了一对小兔子,经一个月生长,长成了大兔子,便开始繁殖,且每月都生一对小兔子,而小兔子又遵循年初那对兔子的繁殖规律,问第x个月兔子有多少对(假设兔子都不死亡)?
解 设第x个月兔子的对数是yx,则第x+2个月的兔子数目可以这样得到:
第x+1个月的兔子在第x+2个月依然存在,但它们有大有小不一定都生小兔子,而第x个月的所有兔子到第x+2个月都生一对兔子,因此有yx+2=yx+1+yx,即yx+2-yx+1-yx=0,且y0=y1=1.
特征方程是λ2-λ-1=0.
求得两个根
.于是原问题的解是
,确定A1,A2之后,便得
.
3.二阶常系数线性非齐次方程的解法
与一阶非齐次差分方程类似,二阶非齐次差分方程的特解同样可以采用待定系数法求.非齐次方程特解类型与方程右端项f(x)有关,具体参见表6-1。
表6-1

(续)

例9 求差分方程yx+2+yx+1-2yx=12的通解及y0=y1=0时的特解.
解 相应齐次方程yx+2+yx+1-2yx=0的特征方程为
λ2+λ-2=0,解得特征根为λ1=-2,λ2=1,于是齐次方程的通解是
yx=A1(-2)x+A2.
由于a+b+1=0,且a=1≠-2,故设原方程的一个特解是
yx∗=a0x,代入原方程,得a0=4,因此,特解是
yx∗=4x.
于是,原方程的通解为Y=A1(-2)x+A2+4x.
由y0=0,y1=0得
,
.故所求特解为
.
例10 求差分方程yx+2+5yx+1+4yx=x的通解.
解 对应齐次方程的特征方程是λ2+5λ+4=0,
特征根为λ1=-1,λ2=-4,
齐次方程的通解yx=A1(-1)x+A2(-4)x.
由于a+b+1=10≠0,故设yx∗=ax+b为非齐次方程的一个特解,代入原方
程得

解得
,
,于是
.
原方程的通解为

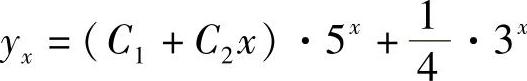
例11 求差分方程yx+2-10yx+1+25yx=3x的通解.
解 对应齐次方程的特征方程是
λ2-10λ+25=0,
解得特征根为λ1=λ2=5,
于是齐次方程通解是yx=(c1+c2x)·5x.
又因为d=3不是特征根,故可设非齐次特解是yx∗=A·3x,代入原方程求得
.
故原方程的通解为
.