7.5 模拟与仿真应用案例
[案例]某港口为了解决产能不足的问题,计划进行扩建。该港口计划部门拟利用模拟方法,模拟该港码头计划期的船舶到港情况,以便设计合理的码头扩充方案。码头报告100天内每天到港的船舶艘数见表7-8。
表7-8 100天内每天到港的船舶艘数

解:
第一步:根据以上资料,观察船舶到港是什么样的分布。可以用直方图来表现,如图7-9所示。由图7-9可以看出,船舶到港基本上类似于泊松分布。

图7-9 到港艘数直方图
第二步:按照泊松分布公式的要求,计算它的分布参数λ。经过计算得
λ=22.8(艘)
第三步:考虑发展因素。根据题意,该外贸码头计划期平均每天到港的船舶艘数可增加5%左右,按此计算,可得:
22.8×0.05=1.14(艘)
即计划期每天到港数可增加1.14艘。因此,计划期每天到港的船舶艘数应为:
λ=22.8+1.14=23.94(艘)
第四步:求事件的随机概率
1)计算每日到港船舶艘数的理论次数分布:由于本例的先验分布基本上类似于泊松分布,因此,我们以泊松分布作为该例题的理论分布。在泊松分布的λ中,还需要考虑因求平均分布所抵消的部分,即在23.94中再增加一个1.14,得25.08≈25。取25作为计算参数λ,代入泊松公式

得每天平均到港0~70艘的理论次数分布见表7-9。
表7-9 每天平均到港船舶的理论分布值

2)求平均次数分布:将先验次数分布与理论次数分布相加,求平均次数分布,见表7-10。
表7-10 平均次数分布

3)按照平均次数分布,求该港计划期预计到船总数,见表7-11。
表7-11 预计到船总数

4)求计划期每天平均到港船舶艘数:
2385.5/100=23.855≈23.9(艘)
即计划期每天平均到港船舶艘数约等于23.9艘,与约定的计划增长数λ=23.94基本相符。
5)计算每天到港船舶频率:有了每天船舶到港平均次数分布数以后,即可以按四舍五入将它们简化,并将每天到船为60艘及70艘的天数并入每天到船为50艘的天中,再将这个分布化为频率,见表7-12。
表7-12 每天到港船舶频率

6)求随机概率:将以上频率加以累计,并换算为随机概率,见表7-13。
第五步:利用随机概率进行模拟(略)。
表7-13 随机概率

[案例] 射击命中率问题
在我方某前沿防守地域,敌人以一个炮排(含两门火炮)为单位对我方进行干扰和破坏.为躲避我方打击,敌方对其阵地进行了伪装并经常变换射击地点。经过长期观察发现,我方指挥所对敌方目标的指示有50%是准确的,而我方火力单位,在指示正确时,有1/3的射击效果能毁伤敌人一门火炮,有1/6的射击效果能全部消灭敌人。现在希望能用某种方式把我方将要对敌人实施的20次打击结果显现出来,并确定有效射击的比率及毁伤敌方火炮的平均值。
解:
这是一个概率问题,只涉及简单的随机数的产生和处理,可以通过理论计算得到相应的概率和期望值。但这样只能给出作战行动的最终静态结果,而显示不出作战行动的动态过程。为了能显示我方20次射击的过程,考虑采用计算机模拟。
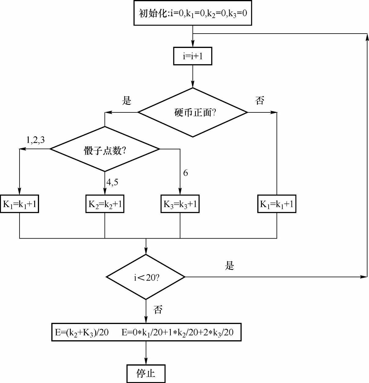
1.问题分析
需要模拟出以下两件事情:
1)观察所对目标的指示正确与否。模拟试验有两种结果,每一种结果出现的概率都是1/2。因此,可用投掷一枚硬币的方式予以确定,当硬币出现正面时为指示正确,反之为不正确。
2)当指示正确时,我方火力的射击结果。模拟试验有三种结果:(https://www.daowen.com)
①毁伤一门火炮的可能性为1/3(即2/6)。
②毁伤两门火炮的可能性为1/6。
③没能毁伤敌火炮的可能性为1/2(即3/6)。
这时可用投掷骰子的方法来确定:
出现1、2、3点:则认为没击中敌人。
出现4、5点:则认为击毁敌人一门火炮。
出现6点:则认为击毁敌人两门火炮。
2.符号假设
i——要模拟的打击次数。
k1——没击中敌人火炮的射击总数。
k2——击中敌人一门火炮的射击总数。
k3——击中敌人两门火炮的射击总数。
E——有效射击比率。
E1——20次射击平均每次毁伤敌人的火炮数。
3.程序流程图
程序流程图见图7-10。

图7-10 程序流程图
4.模拟结果
模拟结果见表7-14。
表7-14 模拟结果

(续)

从表7-14的模拟结果可以计算出:
有效射击
E=7/20=0.35
平均值

5.理论计算
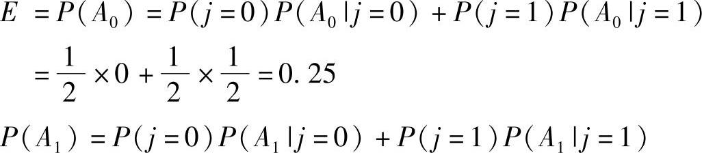
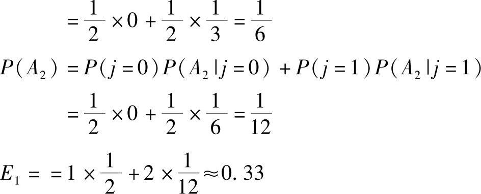
设:
A0:射中敌方火炮的事件;A1:射中敌方一门火炮的事件;
A2:射中敌方两门火炮的事件。
则由全概率公式,可以得到:


6.结果比较
理论计算和模拟结果的比较见表7-15。
表7-15 理论计算和模拟结果的比较

由表7-15可知,模拟结果与理论计算虽然结果不完全一致,但仍反映了事件发生的随机性。如果进行更多次实验求平均值,那么模拟值就会接近理论值。