8.2.2 网络图的线路与关键线路
2026年01月14日
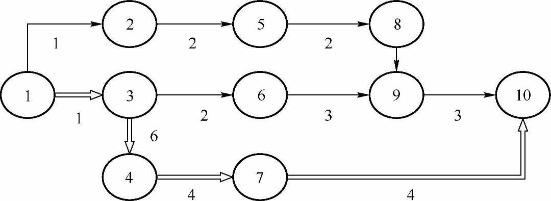
8.2.2 网络图的线路与关键线路
1.线路
线路是指从起始点开始,顺着箭头所指方向,连续不断地到达终点的一条通道。在图8-1中,从起始点1连续不断地到达终点10的线路总共有上、中、下三条:
上:①→②→⑤→⑧→⑨→⑩
中:①→③→⑥→⑨→⑩
下:①→③→④→⑦→⑩

图8-1 网络图
每条线路上各工序所需工时的总和,称为线路的路长。在图8-1中,各条线路的路长分别为:(https://www.daowen.com)
上:1+2+2+3=8
中:1+2+3+3=9
下:1+6+4+4=15
2.关键线路
在所有线路中,总可以找出一条路长值最大,即所需工时最大的线路,这条线路在网络图中称为关键线路。在图8-1中,最下面的线路是关键线路。关键线路在网络图上一般用红线或粗线标出,以区别于非关键线路。关键线路的确定,既可以采用比较路长值的方法,也可以采用通过计算网络时间参数的方法来确定。
应用网络计划模型的主要任务之一就是找出关键线路,因为关键线路决定着总工期。如果能采取积极措施来缩短这条关键线路的完工时间,总工期就可能缩短。因此,在计划管理中总的原则是:向关键线路要时间,向非关键线路要资源。即为了保证整个任务按期或提前完工,必须抓好关键线路上各关键工序的工作,而非关键线路的路长值小于总工期,时间上有富裕,因此可以从非关键线路上的有关工序,抽调一定的人力、物力去支援关键线路。这样既有利于缩短工期,又为资源调度的科学化提供了一种具体有效的方法。