8.2.3 网络图的绘制
网络图的绘制一般可分为任务的分解与分析、绘制网络图和事项编号三个步骤。
1.任务的分解与分析
在绘制网络图前,首先将一项任务分解为一定数目的工序。其分解原则为:根据要求,确定粗细,逐步细化,逐步具体。如图8-2所示。
任务的分析,即确定各工序之间的先后顺序和相互关系,有紧前工序和紧后工序两种表达方式。所谓紧前工序就是当某项工序开始前,必须先期完成的工作。所谓紧后工序就是当某项工序完成后,紧接着就要开始的工作。工序之间除存在紧前和紧后关系外,还应考虑工序之间的平行、交叉等关系。任务经分解和分析后,可将结果汇成明细表,见表8-1和表8-2。在编制网络分析明细表时,要注意的是:如果列出紧前工作,则紧后工作与平行工作就略去;反之亦然。

图8-2 任务的网络分解图
表8-1 工作明细表(未注明工时)

表8-2 工作明细表(注明工时)

在对任务进行分解和分析时,需要确定每项工作所需的必要时间——工时。一般有两种方法来进行工时计算:
(1)单一时间估计法 这种方法在确定各项工作的工时时,只确定一个时间值。这个值不受工作重要性和紧迫性的影响,主要根据完成该项工作的实际可能时间确定。
(2)三种时间估计法 三种时间估计值to,4tm,tp的均值

式中,to是最乐观时间或最快时间;tm是最可能时间;tp是最保守时间或最慢时间。
为了反映工时估计的离散程度,需要计算标准差

工时t(i,j)被看作是服从以均值
、σ(i,j)为标准差的正态分布的随机变量。
2.绘制网络图
(1)画图规则
1)网络图中不允许出现循环回路。如图8-3所示,由于图中出现回路,所以该图画的不正确。

图8-3 存在回路的错误网络图
2)箭头线必须从一个事项开始,到另一个事项结束,其首尾都应该有事项。不允许从一条箭线的中间引出另一条箭线;同样,也不允许一条箭线指在另一条箭线的中间。
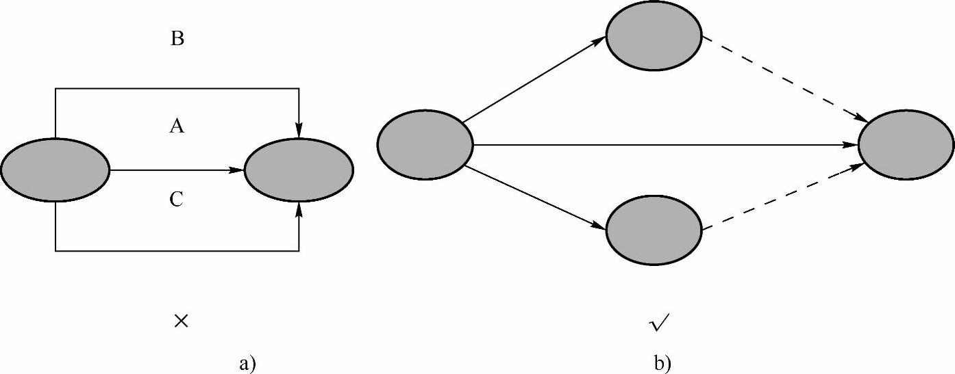
3)相邻两个事项之间最多只能有一条箭线。如图8-4a所示的网络图,两个事项之间的箭线有3条,所以是错的。
4)网络图只能有一个起始事项(起点)和一个终止事项(终点)。应将没有紧前工作的所有工作从起点引出,而将没有紧后工作的所有工作都引到终点。
5)避免箭线交叉,使用“暗桥”。
6)合理利用虚工作。如图8-4b和图8-5所示。

图8-4 合理使用虚工作(https://www.daowen.com)

图8-5 合理使用暗桥的网络图
任何一支箭线和它相关的事项,即○→○只能代表一项工作。如果出现如图8-6所示的情况是不符合要求的,正确的画法如图8-7所示。这样就可以明确地表达出工作甲和工作乙的开始和结束时间,也符合两个事项之间只能有一个工作的原则。虚工作不占有时间,也没有名称或代号,故不应列入明细表。

图8-6 不符合要求的画法

图8-7 正确画法
(2)画图步骤
第一步:勾画草图。方法有前进法和后退法。
● 前进法:适用于工作明细表中列出紧前工作的情况。从左到右顺序绘制草图。
● 后退法:适用于工作明细表中列出紧后工作的情况。从右到左顺序绘制草图。
第二步:检查纠正,图中工作关系是否与明细表中一致。
第三步:调整布局,避免不必要的箭线。
第四步:绘制正图。
[案例]某工程的工作明细表见表8-3,试画出网络图。
表8-3 工作明细表

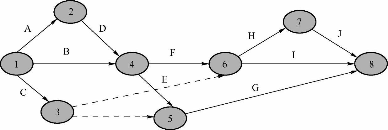
解:按照上面介绍的画图步骤,勾画出网络图,如图8-8所示。

图8-8 网络图
3.事项编号
为便于对网络图的管理和计算,网络图中的事项要统一编号,每个事项均应编排一个顺序号,由左向右,箭尾编号要小于箭头编号,不能重复编号,可以跳跃。
[案例] 某任务的工作明细表见表8-4,试画出网络图。
表8-4 工作明细表

解:按照上面介绍的画图步骤,勾画出网络图,并按照事项编号原则,标出事项标号,如图8-9所示。

图8-9 网络图