8.4 规定总工期的概率评价
对于没有确定工作时间的网络计划问题,需要采用三时估计法。但由于是估计就会产生一定偏差。因此,就要对整个计划能否按规定日期完工进行概率评价。对按期完工可能性低的计划重新安排,以避免盲目开工,不能按期完成预定任务,造成经济损失。
通常,大多数情况下可认为对工作完工时间的估计是符合正态分布的,因此各工作完工时间的估计偏差σ(i,j)可以用式(8-20)求出

式中,to是最快完工估计时间;tP是最慢完工估计时间。
由各关键工作组成的关键线路的估计偏差,即总工期估计偏差可用式(8-21)求出

[案例] 某任务经分解、分析后,得出的明细表见表8-5。试画出该任务的网络图,找出关键线路,并进行总工期的概率评价。
表8-5 任务明细表

解:
根据三时估计法的计算公式
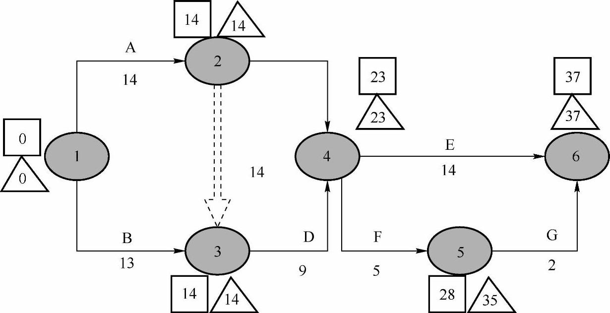
,可以得出各工作的工时。再根据表8-5中列出的各工作之间的逻辑关系,画出网络图。经过事项时间参数的计算,确定出关键线路A→B→E。如图8-12所示。

图8-12 关键线路
在图8-12中,各关键工作的估计偏差为

则关键线路路长值即计划工期的估计偏差为

总工期概率分析与评价主要内容包括:
1.规定完工期求概率
如图8-12所示,其任务的计划完工期为37天。
如果根据客观情况,必须31天完工,则此项任务按规定时间31天完工的可能性有多少?解答此问题可分两步走:(https://www.daowen.com)
①计算规定完工期的概率系数Z,其计算公式为

为了便于查表,需将一般正态分布N(Te,σ2)转化为标准正态分布N(0,1),从而引进Z。把相应数值代入上述公式,得到

如不是对整个工期,而是对某一事项的完工进行概率评价,在确定到该事项计划工期估计偏差时,应在各条线路中选取先行工作方差累计值的最大值。如计算事项④完工期的偏差值,应该选经①→②、②→③、③→④最后到事项④的方差,即事项④的标准差为

②根据概率系数,通过查表8-6,求概率。
表8-6 概率系数与概率关系

当Z=-1时,查表8-6得到P=0.16,显然完成的可能性只有16%,属于较低水平(对比表8-7)。根据制订计划既要可行,又要先进的原则,概率值在0.3<P<0.7范围内是比较合适的。当P<0.3时,风险性太大;当P>0.7时,计划完成较易,不利于激发职工的进取精神。
2.规定概率求完工期
如对项目按期完工的可能性有要求,工期应规定多少时间为宜,可由式(8-23)算出
Ts=Te+Z×σcp (8-23)
[案例] 假设要求本节案例1的项目有90%的把握按期完工,规定工期为多少天合适?
解:当P=0.9时,查表8-6,可得到相应的概率系数Z=1.3,代入式(8-23),则有
Ts=37+1.3×6=44.8(天)
说明若此项目规定为44.8天时,有90%的可能性实现按期完工。
表8-7 任务完成概率
