3.2.4 坐标控制
2026年01月14日
3.2.4 坐标控制
绘制图形时,由于MATLAB自动选择坐标刻度,一般情况下用户不必选择坐标轴的刻度范围.但是如果用户对坐标系不满意,还可以利用axis函数进行重新设定,调用格式为:
axis([xmin xmax ymin ymax])
这里需要注意的是xmin、xmax、ymin和ymax之间是用空格分隔的.这个函数如果增加z轴的取值范围,同样可以用于三维坐标系.
axis函数的功能十分丰富,常用的格式还有:
axis equal %横坐标和纵坐标采用等长刻度
axis square %采用正方形坐标系(默认是矩形)
axis auto %使用默认设置
axis off %取消坐标轴
axis on %显示坐标轴
需要给坐标加网格线时,用grid on命令;去掉网格线时,用grid off(默认形式)命令.给坐标加边框用box on(默认形式),不加边框用box off命令.(https://www.daowen.com)
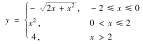
例3.12 绘制分段函数曲线

要求打网格,不加边框,并添加图形标注.
解:程序如下:


程序运行结果如图3-14所示.

图3-14 分段函数曲线