二、摩尔质量
2026年01月14日
二、摩尔质量
想一想
1 mol不同物质中所含的粒子数是相同的,都约为6.02×1023个。那么,1 mol不同物质的质量是多少呢?

图2-2 1 mol几种物质的质量
议一议
依据上图所示,1 mol任何物质的质量,如果以g·mol-1为单位,数值上等于多少?
不难看出,1 mol任何粒子或物质的质量以g为单位时,其数值都与该粒子的相对原子质量或相对分子质量相等。单位物质的量的某物质所具有的质量,叫作该物质的摩尔质量。用符号M表示,常用单位为g·mol-1。
例如:
Zn的摩尔质量为65 g·mol-1;
H2O的摩尔质量为18 g·mol-1;
Na+的摩尔质量为23 g·mol-1;
的摩尔质量为96 g·mol-1。
物质的量(n)、物质的质量(m)、物质的摩尔质量(M)三者之间存在如下关系:
![]()
根据这个式子可以进行物质的质量和物质的量之间的换算。
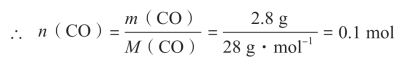
【例题1】 2.8 g CO的物质的量是多少?
解:已知M(CO)=28 g·mol-1(https://www.daowen.com)

答:2.8 g CO的物质的量是0.1 mol。
【例题2】 5 mol H2O的质量是多少?
解:已知M(H2O)=18 g·mol-1

答:5 mol H2O的质量是90 g。
物质的量的引入,为研究化学方程式中各物质之间的数量关系提供了方便。化学方程式中各物质之间的化学计量系数之比,就等于各物质之间的物质的量之比。
例如:

【例题3】 多少克 CaCO3与足量盐酸反应,能生成4 mol CO2?
解:根据化学方程式:

答:400 g CaCO3与足量盐酸反应,能生成 4 mol CO2。
练一练
完成下列表格。
