汽车发动机概述
汽车通常由发动机、底盘、车身和电气与电子设备4部分组成。发动机是汽车的心脏,为汽车提供动力,一般为汽油机或柴油机;底盘,包括传动系统、行驶系统、制动系统、转向系统和安全系统等;车身,一般来说轿车和客车分别采用承载式车身和非承载式车身,载货汽车车身包括驾驶室和车厢;电器与电子设备,包括电源、照明与信号设备、仪表、电气与电子系统、取暖及通风和刮水器等。这4个部分相互关联,组成统一的整体,如图1-1所示。

图1-1 汽车的组成
发动机是汽车的核心总成,发动机的作用是将燃料燃烧的化学能转化为热能进而转化为机械能输出。
1.发动机的分类
(1)按燃料分类:汽油发动机、柴油发动机、压缩天然气发动机、液化石油气发动机、双燃料发动机。
(2)按着火方式分类:压燃式发动机和点燃式发动机。
(3)按工作循环冲程数分类:四冲程发动机(如图1-2所示)和二冲程发动机(如图1-3所示)。

图1-2 四冲程发动机

图1-3 二冲程发动机
(4)冷却方式分类:水冷发动机和风冷发动机。
(5)按发动机进气形式分类:增压式发动机和非增压式发动机。
(6)按转速分类:高速发动机和中低速发动机。
(7)按热能转换方式的不同分类:往复活塞式发动机(如图1-4所示)和转子发动机(如图1-5所示)。

图1-4 往复活塞式发动机

图1-5 转子式发动机
(8)按气缸不同的排列方式分类:直列式发动机(如图1-6所示)、V型发动机(如图1-7所示)、W型发动机(如图1-8所示),水平对置式发动机(如图1-9所示)。

图1-6 直列式发动机

图1-7 V型发动机

图1-8 W型发动机

图1-9 水平对置式发动机
(9)按照气缸的数目不同分类:单缸发动机和多缸发动机。
现代汽车采用四冲程、多缸、水冷、往复活塞式发动机。
2.汽油机的基本结构
四冲程汽油机主要由曲柄连杆机构、配气机构、冷却系统、润滑系统、燃油供给系统、点火系统、进气系统、排气系统、启动系统等系统组成,如图1-10所示。

图1-10 四冲程汽油机的结构
(1)曲柄连杆机构
①作用
曲柄连杆机构的作用是将活塞的往复直线运动转变成曲轴的旋转运动,对外输出动力,并驱动发动机辅助装置。
②结构
曲柄连杆主要由机体组、活塞连杆组、曲轴飞轮组组成,如图1-11、图1-12、图1-13所示。

图1-11 机体组组件

图1-12 活塞连杆组组件

图1-13 曲轴飞轮组组件
(2)配气机构
①作用
配气机构的作用是按照发动机的工作循环和点火次序,定时开启或关闭进/排气门。
②结构
配气机构主要由气门组和气门传动组组成,如图1-14所示。

图1-14 配气机构
(3)冷却系统
①作用
冷却系统的作用是利用液体循环将发动机多余的热量带走并散发掉,确保发动机能在最适宜的温度范围内正常工作。
②结构
冷却系统主要由水泵、散热器、冷却风扇、节温器、储液罐、冷却液温度传感器、发动机缸体和气缸盖中的水套、散热器盖以及其他附加装置等部件组成,如图1-15所示。

图1-15 冷却系统的组成
(4)润滑系统
①作用
润滑系统的作用是润滑、冷却、密封、散热、防锈等。
②结构
润滑系统主要由机油泵、集滤器、限压阀、旁通阀、润滑油道、机油滤清器、油压传感器等组成,如图1-16组成。
(5)燃油供给系统
①作用
燃油供给系统的作用是实时向发动机提供需要的燃油。

图1-16 润滑系统
②结构
燃油供给系统由燃油箱、燃油泵、燃油滤清器、进油管、回油管、燃油导轨、喷油器、油量传感器、燃油压力调节器和脉动阻尼器等部件组成,如图1-17所示。

图1-17 燃油供给系统
(6)点火系统
①作用
点火系统的作用是在正确的时间提供足够的点火能量点燃可燃混合气。
②结构
点火系统由控制模块、点火线圈、火花塞、高压线和传感器等组成,如图1-18所示。

图1-18 点火系统
(7)进气系统
①作用
进气系统的作用是将新鲜的空气过滤后送入气缸。
②结构
进气系统主要由空气滤清器、进气软管、进气歧管、节气门体,如图1-19所示。

图1-19 进气系统
(8)排气系统
①作用
排气系统的作用是将燃烧生成的废气净化并降噪处理后排出发动机。
②结构
排气系统主要由排气歧管、氧传感器、三元催化转化器、排气消声器等组成,如图1-20所示。

图1-20 排气系统
(9)启动系统
①作用
启动系统的作用是驱动曲轴由静止状态开始运转,启动发动机。
②结构
启动系统主要由蓄电池、起动机、点火开关、起动继电器等组成,如图1-21所示。

图1-21 启动系统
3.基本术语
(1)上止点:活塞离曲轴回转中心最远处,一般指活塞上行到最高位置,一般用英文缩写词TDC表示,如图1-22所示。
(2)下止点:活塞离曲轴回转中心最近处,一般指活塞下行到最低位置,一般用英文缩写词BDC表示。如图1-23所示。
(3)活塞行程(S):上、下止点间的距离,如图1-24所示。

图1-22 上止点

图1-23 下止点

图1-24 活塞行程
(4)曲柄半径(R):与连杆下端(即连杆大头)相连的曲柄销中心到曲轴回转中心的距离(mm)。显然,S=2R。曲轴每转一周,活塞移动两个行程,如图1-25所示。
(5)气缸工作容积(Vh):活塞从上止点到下止点所扫过的空间容积。
即V(式中,D——气缸直径,mm),如图1-26所示。
(6)燃烧室容积(Vc):活塞在上止点时,活塞上方的空间称为燃烧室,它的容积称为燃烧室容积,如图1-27所示。

图1-25 曲柄半径

图1-26 气缸工作容积

图1-27 气缸燃烧室容积
(7)发动机排量(VL):发动机所有气缸工作容积之和。设发动机的气缸数为i,即VL=Vh·i。
(8)气缸总容积(Va):活塞在下止点时,活塞上方的容积称为气缸总容积。它等于气缸工作容积与燃烧室容积之和,即Va=Vh+Vc,如图1-28所示。
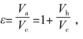
它表示活塞由下止点运动到上止点时,气缸内气体被压缩的程度。压缩比越大,压缩终了时气缸内的气体压力和温度就越高。一般车用汽油机的压缩比为7~10,柴油机的压缩比为15~22。
(9)压缩比(ε):气缸总容积与燃烧室容积的比值,即:如图1-29所示。

图1-28 气缸总容积

图1-29 压缩比