第6章 卤代烃
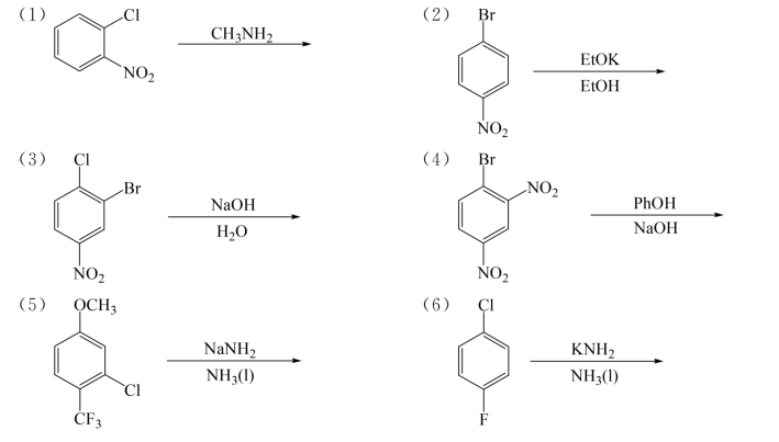
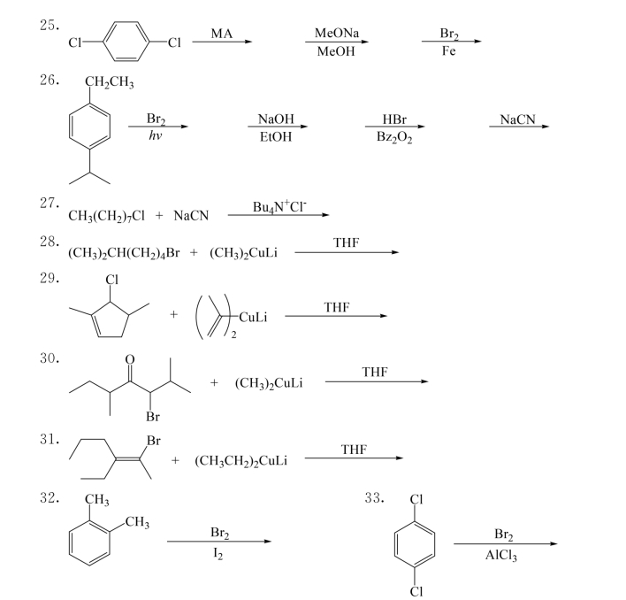
问题1 完成反应

问题2 完成反应

问题3 回答问题
(1)试比较下列化合物进行SN2反应的活性?

(2)试比较下列化合物发生SN1反应的活性?

问题4 完成反应

问题5 完成反应

问题6 完成反应

问题7 完成反应

问题8 完成转化

问题9 完成反应

问题10 完成反应

问题11 完成反应

问题12 完成反应
![]()
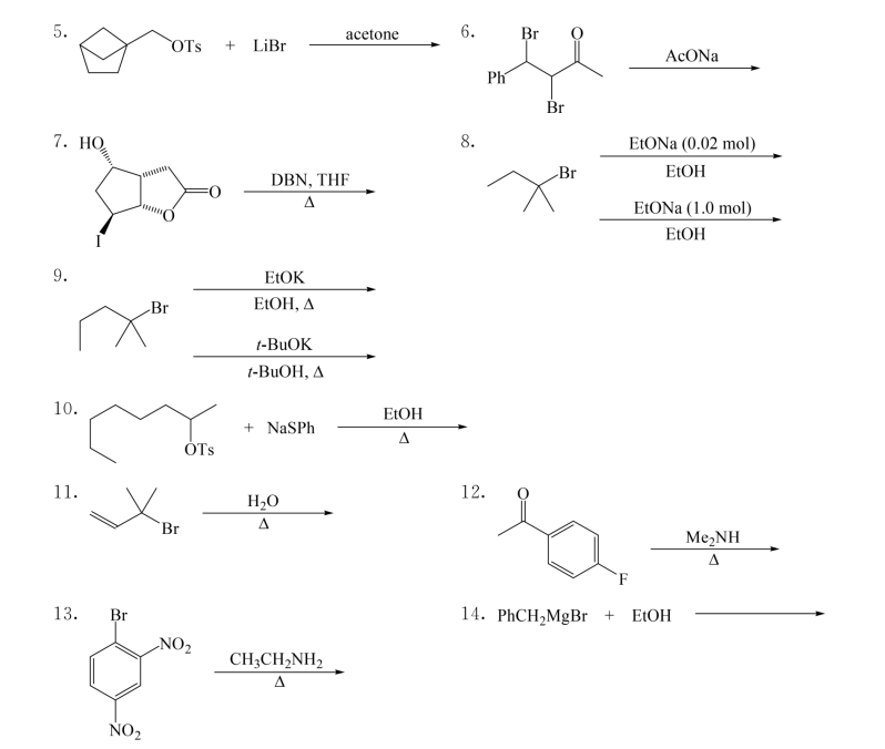
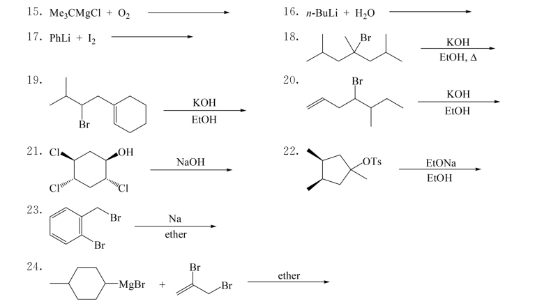
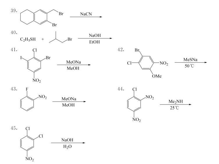
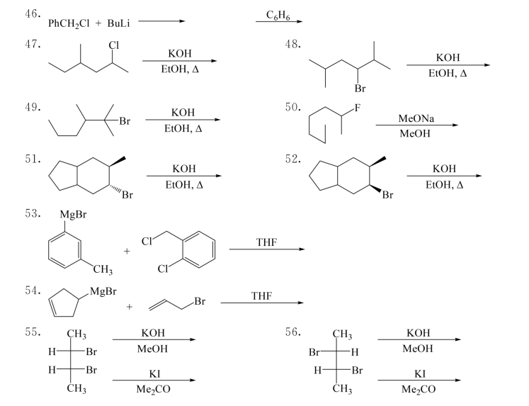
问题13 完成反应

问题14 完成转化

问题15 完成反应

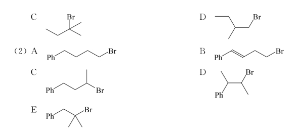
问题16 比较下列化合物在氢氧化钾乙醇溶液中的反应速率.


问题17 完成转化

问题18 在制备Grignard试剂时常用乙醚做溶剂,事实上不需要特别除氧,为什么?
问题19 在制备Grignard试剂过程中如何避免偶联反应?
问题20 完成反应

问题21 完成反应


问题22 完成反应

问题23 完成反应

习题
一、回答问题(https://www.daowen.com)
1.试比较下列化合物在丙酮溶液中与氰化钠反应的快慢,哪个最快?最慢的呢?


2.试比较下列化合物在硝酸银乙醇溶液中反应的速率,哪个最快?最慢的呢?

3.试比较下列化合物在氢氧化钾乙醇溶液中的反应速率,哪个最快?最慢的呢?

4.试比较下列化合物在甲酸溶液中的反应速率,哪个最快?最慢的呢?

5.试比较下列化合物在稀氢氧化钠水溶液中的反应速率,哪个最快?最慢的呢?

6.比较下列化合物发生SN2反应的速率:
A 1-溴丁烷 B 2-甲基-1-溴丁烷
C 3-甲基-1-溴丁烷 D 2,2-二甲基-1-溴丁烷
7.比较下列化合物发生SN1反应的速率:
A 3-甲基-1-溴丁烷 B 2-甲基-2-溴丁烷
C 2-甲基-3-溴丁烷 D 2-甲基-1-溴丁烷
二、完成反应








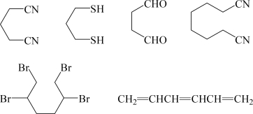
三、由指定原料合成
1.丙烯

2.氯代环己烷

3.甲苯

4.溴苯


5.氯苯

6.由对氯三氟甲苯合成除草剂氟乐灵(Trifluralin).

四、建议机理

五、结构推导
1.化合物A(C5H11Cl)经碱处理产生异构体B和C,经催化加氢均得异戊烷.经硼氢化-氧化水解,B得到几乎一种醇D,而C得到醇D和E.试推测A~E的结构.
2.化合物A(C7H15Cl)经碱处理产生异构体B、C和D,经催化加氢均得异庚烷.经硼氢化-氧化水解,B得到几乎一种醇E,而C和D得到醇E和F.试推测A~F的结构.
六、解释实验现象
1.对甲氧基苯氯甲烷在67%含水丙酮中水解的速率是苯氯甲烷的一万倍,而间甲氧基苯氯甲烷水解的速率只有苯氯甲烷的三分之二.为什么?
2.EtOCH2Cl水解的速率比正丁基氯快108倍,而MeOCH2CH2Cl的水解速率则只有正丁基氯的0.9倍.为什么?
七、下列两化合物在碱试剂存在下消去一分子氯化氢,比较快慢并解释.
