第7章 醇酚醚
问题1 在实验室中,处理废弃金属钠的规范做法是用异丙醇,为什么不用酒精或无水乙醇?
问题2 解释反应

问题3 由溴化钠与正丁醇制备正溴丁烷,为什么还要使用大量的浓硫酸?

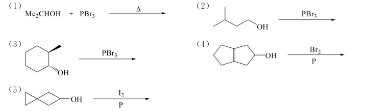
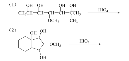
问题4 完成反应

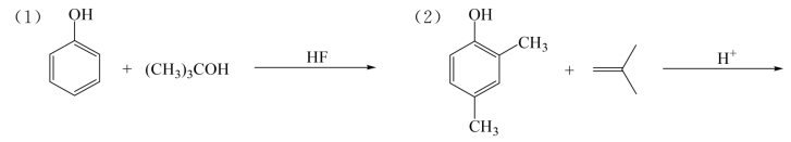
问题5 完成反应

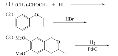
问题6 完成反应


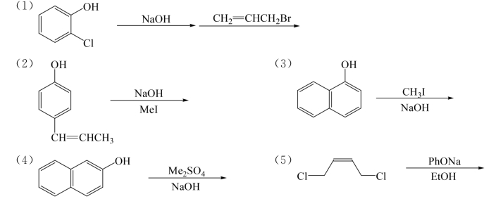
问题7 解释下列反应

问题8 建议机理

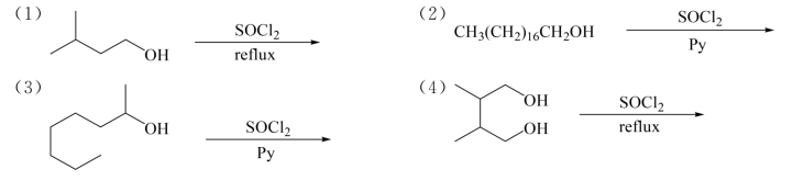
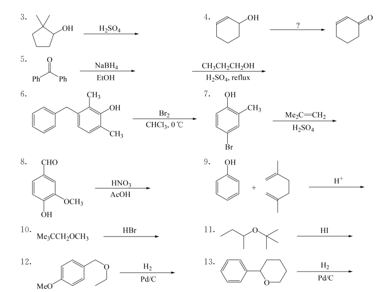
问题9 完成反应

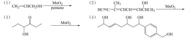
问题10 给出与二氧化锰作用的产物?


问题11 完成反应

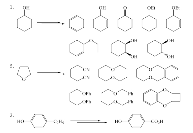
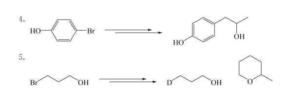
问题12 完成转化
![]()
问题13 完成反应

问题14 完成反应并建议机理

问题15 建议反应机理
![]()
问题16 完成反应并建议机理

问题17 完成反应

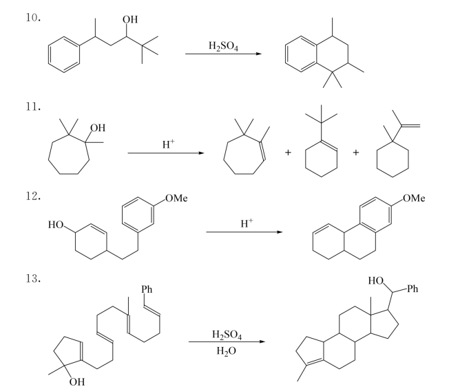
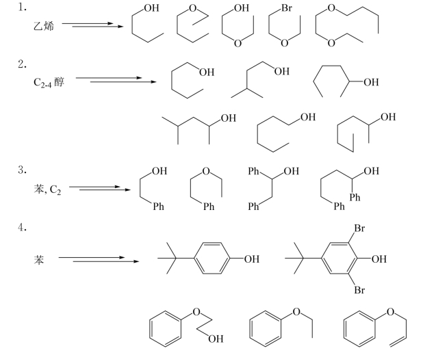
问题18 如何合成目标分子TM?

问题19 以适当原料制备:
乙二醇、丙三醇、1,4-丁二醇、2,3-丁二醇.
问题20 完成反应

问题21 完成反应

问题22 合成设计
(1)合成防腐剂BHT.

(2)合成防腐剂4-己基-1,3-苯二酚.

问题23 如何制备对甲苯酚与萘酚?

问题24 建议机理

问题25 如何分离环己烷与二异丙醚混合物?
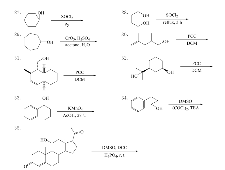
问题26 完成反应

问题27 完成反应并建议机理

问题28 建议机理
![]()
问题29 完成反应并建议机理

问题30 建议机理

问题31 完成反应

问题32 完成反应

问题33 完成反应

(https://www.daowen.com)
问题34 完成反应

问题35 合成设计

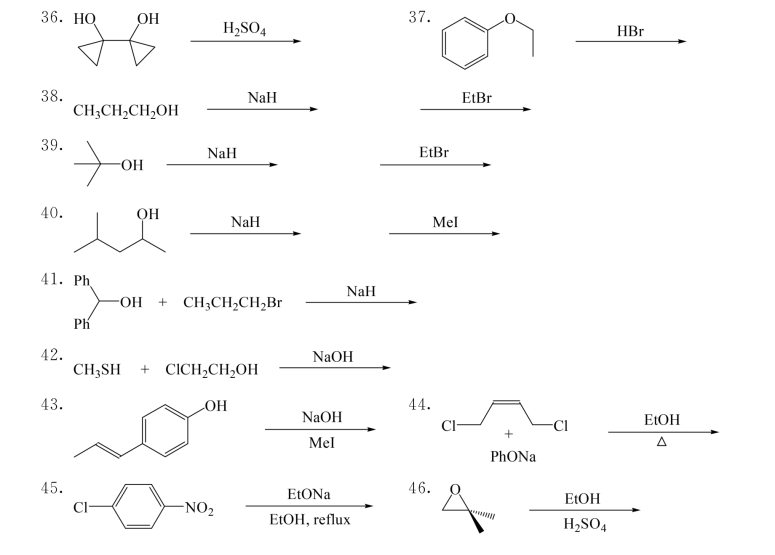
问题36 完成反应

问题37 建议机理


问题38 建议机理
![]()
问题39 建议机理

问题40 完成反应并建议机理

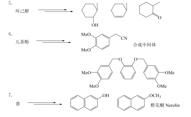
习题
一、用普通命名法和系统命名法分别命名.
1.C4H10O 写出异构体并命名.
2.C5H12O 写出异构体并命名.

二、给出结构并系统命名
烯丙醇、苯甲醇、巴豆醇、肉桂醇、频哪醇(pinacol)、水杨醇、薄荷醇、甘醇、二甘醇、甘油、甲酚、儿茶酚、氢醌、苦味酸、丁香酚、环氧氯丙烷、茴香醚、THF、MTBE、BHT、乙二醇二甲醚、二噁烷(二氧六环).
三、回答问题
1.讨论正丁醇与叔丁醇的沸点.
2.讨论正丁醇与叔丁醇的水溶性.
3.讨论正丁醇、叔丁醇与金属钠的反应性及其盐的反应性.
4.乙二醇及其甲醚的沸点随分子量增大而降低.

四、完成反应






五、建议机理


14.完成反应并建议机理
![]()
六、完成转化


七、合成设计



8.由乙醇合成三乙醇胺.
![]()
9.由苯酚、氯苯合成低毒除草剂草枯醚(防治水稻一年生杂草,也可用于防除油菜、白菜的禾本科杂草).

八、结构推导
1.化合物A(C6H14O)经Collins氧化,νmax3 300 cm-1带消失转而出现1 710 cm-1强峰,与硫酸氢钾共热,除得到主要产物B(C6H12)外,还得到其异构体C和D.B的氢谱显示只有一个信号.B经臭氧化-还原水解只得一种产物E(C3H6O),其氢谱也只有一个信号,δH2.2(s)ppm,IR有强吸收νmax1 715(s)cm-1.试给出A~E的结构.
2.化合物A(C5H12O)可被铬酸氧化,与硫酸氢钾共热,得到B和C(C5H10),经氢化(H2/Ni)处理都得到异戊烷.B经臭氧化-还原水解(O3then Zn/H2O)得到D(C3H6O)和E(C2H4O),其1 H NMR与IR数据如示:DδH2.16(s,6 H)ppm;ννmax1 715(s)cm-1.EδH9.79(s,1 H),2.21(s,3 H)ppm;ννmax1 727(s)cm-1.试给出A~E的结构.
3.C5H12OδH3.21(s,3 H),1.19(s,9 H)ppm;νmax2 977,1 206(s),1 087(s)cm-1.
4.C7H8O.
A δH7.31(br s,5 H),4.60(s,2 H),2.30(br s,1 H)ppm.νmax3 326(s),3 031,2 932,1 611,1 497,1 018(s),736,698 cm-1.
B δH7.26~6.88(m,5 H),3.75(s,3 H).νmax3 033,2 945,2 836,1 601,1 498,1 248(s),1 041(s),755,692-1.
C δH7.0~6.72(dd,4 H),5.20(br s,1 H),2.25(s,3 H).νmax3 322(s),3 026,2 922,1 600,1 514,1 463,1 237(s),816 cm-1.
5.C4H10O.
A δH3.63(t,2 H),2.24(s,1 H),1.53(m,2 H),1.39(m,2 H),0.94(t,3 H);δC62.3,34.9,19.1,13.9 ppm.νmax3 333,2 960,1 379,1 073 cm-1.m/z 73(2),56(100),43(59),42(31.6),41(66),31(83).
B δH3.47(q),1.21(t);δC66,15.4.νmax2 979,2 868,1 383,1 126 cm-1.m/z 74(44),59(67),31(100).
6.MS显示,化合物A、B、C、D和E均有分子式C8H10O.试根据所给波谱信息推导其结构.
A δH7.22~6.80(m,5 H),3.96(q,2 H),1.37(t,3 H)ppm.νmax2 982,1 602,1 498,1 246(s),1 049,764,692 cm-1.
B δH7.32(br s,5 H),4.44(s,2 H),3.37(s,3 H)ppm.νmax2 926,2 822,1 466,1 382,1 102(s)cm-1.
C δH7.05~6.78(dd,4 H),3.73(s,3 H),2.26(s,3 H)ppm.νmax3 002,2 963,2 836,1 614,1 513,1 249(s),1 039,818 cm-1.
D δH7.06~6.76(dd,4 H),4.85(s,1 H),2.58(q,2 H),1.20(t,3 H)ppm.νmax3 263(s),1 246(s),1 039,826 cm-1.
E νmax3 371(s),3 022,2 922,1 518,1 448,1 030(s),810(s)cm-1.δH7.29~7.05(dd,4 H),4.57(s,2 H),2.33(s,3 H),2.12(s,1H)ppm.
7.C9H12O.
νmax3 318(s),2 960,1 611,1 513,1 222(s),823 cm-1.δH7.10~6.76(dd,4 H),4.80(br s,1 H),2.85(m,1 H),1.21(d,6 H)ppm;δC153.0,141.4,127.5,115.3,33.3,24.2 ppm.